欢迎访问《植物研究》杂志官方网站,今天是 分享到:
高级检索 | 图表检索
  • 首页
  • 期刊介绍
    • 期刊简介
    • 检索系统收录
    • 刊期及更名情况
  • 编委会
  • 投稿中心
    • 征稿简则
    • 定稿要求
    • 自校须知
    • 模板下载
    • 同行评议流程
  • 期刊订阅
  • 出版伦理声明
  • 联系我们
  • 合作与交流
  • English
1
2
3
Previous Next
  • 当期目录
  • 过刊浏览
  • 阅读排行
  • 下载排行
  • 引用排行
2025年 第45卷 第5期    刊出日期:2025-09-20
上一期   
前瞻观点
植被和水管理趋势——将局域管理实践与流域水文关联的必要性(英文)
2025, 45(5):  659-661.  doi:10.7525/j.issn.1673-5102.2025.05.001
摘要 ( 5 )   HTML ( 15)   PDF (336KB) ( 0 )  
参考文献 | 相关文章 | 计量指标
综述文章
植物对土壤氮吸收的多维度策略及其生态意义
高雷, 杨瑞彤, 刘宝东, 贾淑霞, 郭亚芬, 崔晓阳
2025, 45(5):  662-674.  doi:10.7525/j.issn.1673-5102.2025.05.002
摘要 ( 9 )   HTML ( 15)   PDF (2735KB) ( 0 )  
数据和表 | 参考文献 | 相关文章 | 计量指标

植物吸收土壤氮的过程及其多维度策略对生态系统生物多样性和碳汇功能具有重要影响。该文系统回顾了植物氮营养理论发展历程,介绍了矿质营养理论和矿质-有机营养理论,重点阐述了植物对土壤氮吸收的多维度策略,主要涉及4个方面:(1)多形态氮吸收,这既包括铵态氮和硝态氮,也包括一系列低相对分子质量有机氮,如氨基酸、氨基糖和寡肽等;(2)季节性吸收,植物对土壤多形态氮吸收数量和模式具有显著的季节性变异,不同植物的吸收规律可能存在差异;(3)土层分化吸收,根系构型及土壤有效氮在土壤垂直层次的变异影响植物对土壤不同层次氮量及氮形态的吸收;(4)共生方式分化吸收,固氮细菌、菌根真菌及深色有隔内生真菌等促进植物氮吸收,并在一定程度上影响植物对不同形态氮的获取。综上,植物氮吸收的多维度策略是生态系统植物共存和生态位分化的基础,在缓解植物种间竞争、减少氮损失及提高生态系统氮利用效率等方面发挥重要作用。目前,对植物氮吸收策略的研究尚有不足,与之相关的一些关键科学问题亟待解决,如原位土壤有效氮的含量与动态,不同土壤有效氮的周转差异,植物氮吸收策略的分子生物学机制,以及不同有效氮对植物氮营养的贡献等。

研究论文
睡莲科植物叶与陆生草本植物叶供耗水特征差异
胡昕怡, 许黎明, 覃伯韬, 安倚东, 蒋国凤
2025, 45(5):  675-685.  doi:10.7525/j.issn.1673-5102.2025.05.003
摘要 ( 9 )   HTML ( 16)   PDF (1588KB) ( 0 )  
数据和表 | 参考文献 | 相关文章 | 计量指标

陆生被子植物主要通过叶脉与气孔的协调来平衡供耗水,表皮细胞在此过程中发挥重要作用。然而,在睡莲科(Nymphaeaceae)植物中相关研究非常有限。该研究以7种睡莲科植物、6种陆生草本植物为对象,通过量化分析花、叶的解剖特征,探讨睡莲科种内及2类群间花、叶性状差异。结果表明:睡莲科植物花比叶具更大的气孔、表皮细胞及更高的脉密度,叶表现出更高的气孔密度、表皮细胞密度及气孔指数。睡莲科植物花的解剖性状与陆生草本植物相似,叶的表皮细胞密度、气孔密度显著高于陆生草本植物叶,气孔大小、表皮细胞大小、叶脉密度、气孔指数显著低于陆生草本植物叶。睡莲科植物花气孔密度与表皮细胞大小、花脉密度均无关;叶中表皮细胞大小与气孔密度呈负相关,气孔密度与叶脉密度解耦。主成分分析表明,与陆生草本植物相比较,睡莲科植物花具有表皮细胞密度优势;叶性状区域完全分离,睡莲科植物叶具有表皮细胞密度和气孔密度优势。综上,睡莲科植物花因挺水特征表现出与陆生草本植物花相似的性状,叶片中气孔与脉之间的解耦反映了其对水生环境的适应性演化。上述结果为研究水生植物水分利用特征及环境适应机制提供了重要依据。

兴安落叶松水分利用效率对模拟气候变暖的响应
王楠, 王晶晶, 王传宽, 全先奎
2025, 45(5):  686-694.  doi:10.7525/j.issn.1673-5102.2025.05.004
摘要 ( 8 )   HTML ( 16)   PDF (1410KB) ( 0 )  
数据和表 | 参考文献 | 相关文章 | 计量指标

研究气候变暖对树木水分利用效率的影响,有利于揭示树木碳水耦合关系对全球气候变暖的响应。2004年,将4个不同气温地点(年均温从低到高依次为塔河、松岭、孙吴、带岭)生长的兴安落叶松(Larix gmelinii)幼树移栽至其自然分布区南缘的同质园(帽儿山),通过被动增温模拟气候变暖。2022年8月,在同质园和4个移栽地同步采用气体交换法测定兴安落叶松瞬时水分利用效率(WUEi)和潜在水分利用效率(WUEg),并用碳同位素丰度表示长期水分利用效率(WUEL),探讨不同模拟变暖程度对兴安落叶松水分利用效率的影响。结果表明:WUEi和WUEg在不同模拟变暖程度下均显著增大,塔河、松岭、孙吴、带岭的WUEi分别增大33.37%、38.84%、42.06%和58.76%,WUEg分别增大15.94%、18.47%、20.84%和39.10%,WUEL仅在模拟变暖程度较大的松岭和塔河显著增大16.92%和30.56%。WUEi、WUEg和WUEL增大的幅度均与模拟变暖程度呈线性正相关。模拟气候变暖处理前后,WUEi和WUEg均存在显著的地点间差异且具有相似规律,而WUEL仅在模拟气候变暖处理前具有显著的地点间差异。WUEi对模拟气候变暖处理的响应最为敏感,而WUEL仅在模拟变暖程度较大时表现出差异性响应。综上,在研究气候变暖对树木水分利用效率影响时,既要考虑变暖的程度,也要考虑计算方法。

白枪杆幼苗C、N、P化学计量特征与生物量对降雨变化的响应
赵启泽, 茶晓飞, 郑绍傑, 王元友, 韦兴兰, 董琼
2025, 45(5):  695-706.  doi:10.7525/j.issn.1673-5102.2025.05.005
摘要 ( 5 )   HTML ( 16)   PDF (2360KB) ( 0 )  
数据和表 | 参考文献 | 相关文章 | 计量指标

探讨不同降雨变化对白枪杆(Fraxinus malacophylla)幼苗生长及C、N、P化学计量特征的影响,可为白枪杆幼苗在喀斯特植被恢复中的应用提供理论依据。该研究以2年生白枪杆实生苗为对象,通过设置增雨40%、减雨40%、自然降雨3种雨量梯度,以及5 d和10 d 2种降雨时间间隔处理,探究白枪杆幼苗生物量及C、N、P化学计量特征对降雨格局变化的响应。结果表明:(1)延长降雨间隔及减雨处理对白枪杆幼苗、根、茎、叶生物量积累均有抑制作用,而增雨处理则相反;(2)增雨处理下白枪杆幼苗叶C和P含量显著上升(P<0.05),而叶N含量显著下降(P<0.05);减雨处理下,降雨时间间隔为5 d时,根C、N、P,茎C、P和叶C、N含量显著减少(P<0.05);延长降雨间隔,白枪杆幼苗根、茎和叶C、N、P含量均显著下降(P<0.05);(3)减雨和自然降雨下,白枪杆幼苗叶N∶P(质量比)>16,表明生长受P限制;增雨处理下,幼苗叶N∶P为14~16,表明生长受N和P共同限制。白枪杆通过调节各器官生物量积累及C、N、P化学计量特征应对降雨变化。上述结果可为喀斯特地区植被恢复及白枪杆栽培管理提供一定的科学依据。

德夯地质公园岩溶河谷源头瀑布草本群落植物多样性
龙姿羽, 王志成, 赵蕊, 刘冰, 陈功锡
2025, 45(5):  707-721.  doi:10.7525/j.issn.1673-5102.2025.05.006
摘要 ( 8 )   HTML ( 16)   PDF (3015KB) ( 1 )  
数据和表 | 参考文献 | 补充材料 | 相关文章 | 计量指标

为探究德夯地质公园瀑布生境草本群落物种组成、区系地理成分及多样性特征与变化规律,选取重要值、区系地理成分、物种α和β多样性、营养性状、繁殖性状以及谱系多样性对3个瀑布草本群落进行分析,以期为瀑布生境植物多样性研究提供基础资料。结果表明:德夯地质公园瀑布生境草本植物共35科66属85种,三脉紫菀(Aster ageratoides)、少花马蓝(Strobilanthes oligantha)、冷水花(Pilea notata)、粗齿冷水花(Pilea sinofasciata)为优势种。地理分布区类型符合东亚植物区系特征,其中,大龙洞瀑布生境草本群落热带物种成分相对较多,仙女潭瀑布生境则较少。物种α多样性中大龙洞瀑布生境Shannon-Wiener和Simpson指数较高,但Pielou指数最低;β多样性指数变化一致,在大龙洞瀑布与流纱瀑布生境之间最高,流纱瀑布和仙女潭瀑布生境之间最低。生活习性以多年生草本为主,叶多为中型、单叶、纸质、不裂、锯齿。叶序和叶毛被存在差别;繁殖性状以两性花、顶生和腋生、干果、种子风力传播为主,花期集中在5—8月,果期集中在8—10月,花序类型存在差异。草本群落呈现聚集状态,环境过滤作用是影响群落构建的主要因素。德夯瀑布生境草本群落植物多样性特征与其他群落相比具有独特性。

组成型过表达PagPYL4基因对84K杨耐旱性与生长的影响
刘上, 王锦华, 哈斯, 刘畅
2025, 45(5):  722-730.  doi:10.7525/j.issn.1673-5102.2025.05.007
摘要 ( 7 )   HTML ( 16)   PDF (3758KB) ( 0 )  
数据和表 | 参考文献 | 相关文章 | 计量指标

在气候变化和耕地资源日益紧张背景下,提升林木抗旱性成为重要育种目标。然而,抗旱性改良不应以牺牲生物量积累为代价。该研究在84K杨(Populus alba×P. glandulosa ‘84K’)中构建了组成型过表达PagPYL4基因株系,系统分析其在气孔调控、光合效率、生长性状及干旱响应方面的综合表现。结果表明,在外源ABA影响下,过表达PagPYL4基因使植株气孔开度变化显著。短期干旱处理下,相较于野生型,过表达PagPYL4基因能够减少水分散失,提升耐旱性;但抑制气孔导度和光合速率,造成株高与地径增长速率显著下降。该研究揭示了在林木抗逆改良中,仅依赖组成型表达难以实现理想育种目标,应探索更精准的表达调控策略以实现抗性与生长的协同优化。

白桦BpDMPs基因家族生物信息学及BpDMP7功能分析
武思尧, 王新宇, 孙子腾, 郑志民
2025, 45(5):  731-744.  doi:10.7525/j.issn.1673-5102.2025.05.008
摘要 ( 4 )   HTML ( 14)   PDF (4709KB) ( 0 )  
数据和表 | 参考文献 | 补充材料 | 相关文章 | 计量指标

白桦(Betula platyphylla)作为多年生木本植物因生长周期较长、基因型复杂等问题,育种过程中难以获得纯合植株和家系,进而导致育种工作进展较慢。双单倍体(doubled haploid,DH)育种技术是近年来兴起的一种育种方法,只需要两代即可得到纯合的植物家系。因此,DH育种技术可以大大缩短林木育种周期并获得纯合家系,而DMP基因的发现与应用为双单倍育种开辟了一个新的研究方向。该研究旨在通过生物信息学分析揭示白桦BpDMPs基因家族的理化性质、蛋白结构、系统进化、基因结构、染色体分布及其在白桦生长发育过程中潜在的功能;通过表达模式分析鉴定该基因家族中具有单倍体诱导功能的白桦DMP基因,并通过拟南芥(Arabidopsis thaliana)回补试验验证基因功能。生物信息学分析结果显示:在白桦中,DMP基因包含14个基因家族成员,分布在6条染色体上;系统发育分析表明,BpDMPs基因家族中14个基因分属5个分支;对启动子顺式作用元件的预测分析表明,BpDMPs基因家族的启动子中包含生长发育、激素代谢、胁迫响应等相关的反应元件。qRT-PCR结果显示,BpDMPs在白桦各组织中表达水平差异较大,其中,BpDMP2和BpDMP7在雄蕊中表达量较高,拟南芥回补试验证明,BpDMP7基因可以回补拟南芥dmp8dmp9突变体籽粒败育的表型。为进一步验证BpDMP7诱导白桦产生单倍体,用CRISPER/Cas9基因编辑技术将该基因进行靶向敲除并获得突变体植株。该研究为进一步研究白桦BpDMPs基因家族的功能和调控机制提供了基础信息,并为理解这些基因在植物生长发育及环境适应过程中扮演的角色提供了新的视角。

水稻OsBBTIs基因家族鉴定及在非生物胁迫下的表达分析
卢禹彤, 刘博妍, 车仁祥, 张玉坤, 朱凤金, 蓝兴国
2025, 45(5):  745-754.  doi:10.7525/j.issn.1673-5102.2025.05.009
摘要 ( 6 )   HTML ( 16)   PDF (4489KB) ( 0 )  
数据和表 | 参考文献 | 相关文章 | 计量指标

Bowman-Birk型胰蛋白酶抑制剂(Bowman-Birk type trypsin inhibitor,BBTI)是植物中广泛分布的一类胰蛋白酶抑制剂,在植物抵御胁迫过程中发挥重要作用。该研究利用生物信息学方法在基因组水平上鉴定出11个水稻(Oryza sativa)BBTIs基因家族成员,其中,10个OsBBTIs基因成簇聚集于1号染色体前端,而另外1个OsBBTI13基因定位于3号染色体。OsBBTIs蛋白具有N端信号肽和1~3个典型保守的Bowman-Birk型结构域。OsBBTIs基因的启动子区具有响应茉莉酸和脱落酸及非生物胁迫应激反应相关响应元件。转录组数据显示,所有OsBBTIs基因表达能够被茉莉酸诱导,多数OsBBTIs基因表达可以响应非生物胁迫。利用qRT-PCR检测NaHCO3和NaCl胁迫下水稻OsBBTIs基因表达水平,结果显示,盐碱胁迫显著诱导OsBBTIs基因表达。该研究可为进一步研究OsBBTIs蛋白在非生物胁迫中的功能奠定基础。

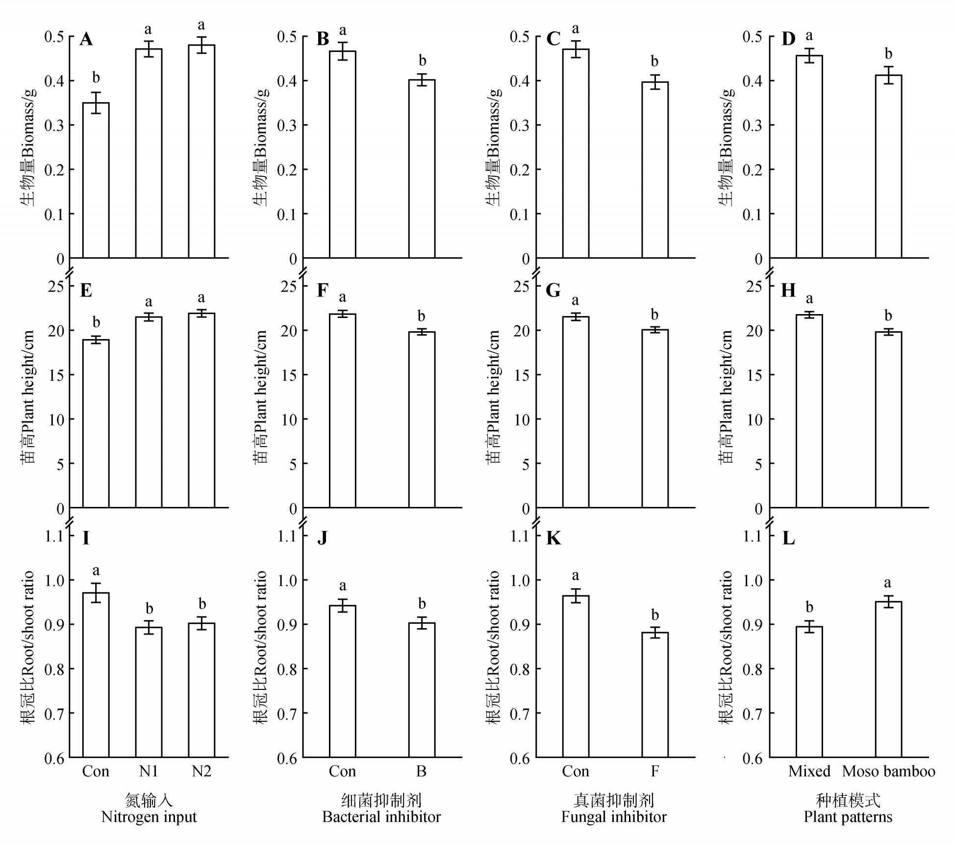
土壤氮与微生物调控对毛竹和日本柳杉生长的影响——毛竹扩张潜在机制
张茜, 方海富, 赵红, 申家成, 刘亮英, 徐昕彤, 张令
2025, 45(5):  755-768.  doi:10.7525/j.issn.1673-5102.2025.05.010
摘要 ( 6 )   HTML ( 15)   PDF (1605KB) ( 0 )  
数据和表 | 参考文献 | 相关文章 | 计量指标

毛竹(Phyllostachys edulis)向周边林分扩张影响植物和土壤稳定性,而其成功扩张机制尚不明确。通过研究不同氮形态和土壤微生物对毛竹和日本柳杉(Cryptomeria japonica)生长的影响,揭示全球变化背景下毛竹扩张的养分与微生物机制。该研究采用盆栽试验,设置8 g·m-2氮输入处理(对照,Con;铵态氮,N1,施用硫酸铵溶液;硝态氮,N2,施用硝酸钾溶液),并调控土壤微生物群落(对照,Con;细菌抑制,B,施用3 g·L-1链霉素溶液;真菌抑制,F,施用1 g·L-1扑海因溶液),探讨单一和混合种植下毛竹和日本柳杉幼苗对氮输入和微生物的响应。结果表明:相比于对照,无论在单一种植还是混合种植下,氮输入可显著提高毛竹和日本柳杉幼苗的生物量和苗高,但显著降低根冠比。微生物处理中,在2种种植模式下,细菌和真菌抑制均降低2个物种的生物量和苗高(P<0.01),植物生长受限。与对照相比,细菌抑制下毛竹和日本柳杉生物量分别降低13.93%和11.57%,苗高分别降低9.41%和4.56%;真菌抑制下生物量分别降低15.84%和10.46%,苗高分别降低6.90%和3.20%。与单一种植相比,混合种植显著提高毛竹生物量和苗高,但同时将毛竹和日本柳杉根冠比分别降低6.01%和5.77%(P<0.05),混合种植下毛竹表现出较强的生长优势。氮输入处理中,与单种日本柳杉相比,单种毛竹和混合种植下土壤有机碳和全氮含量显著降低。N1、N2形态氮输入均显著降低各种植模式下土壤pH,混合种植土壤pH高于单一种植。在全球变化背景下,氮沉降导致的生态系统氮输入可能与毛竹扩张相互作用,形成正反馈,进而促进毛竹成功扩张。随着氮沉降加剧,土壤养分有效性与土壤微生物群落通过促进植物养分吸收和资源分配,促使植物竞争能力增强,导致毛竹向周边林分成功扩张。

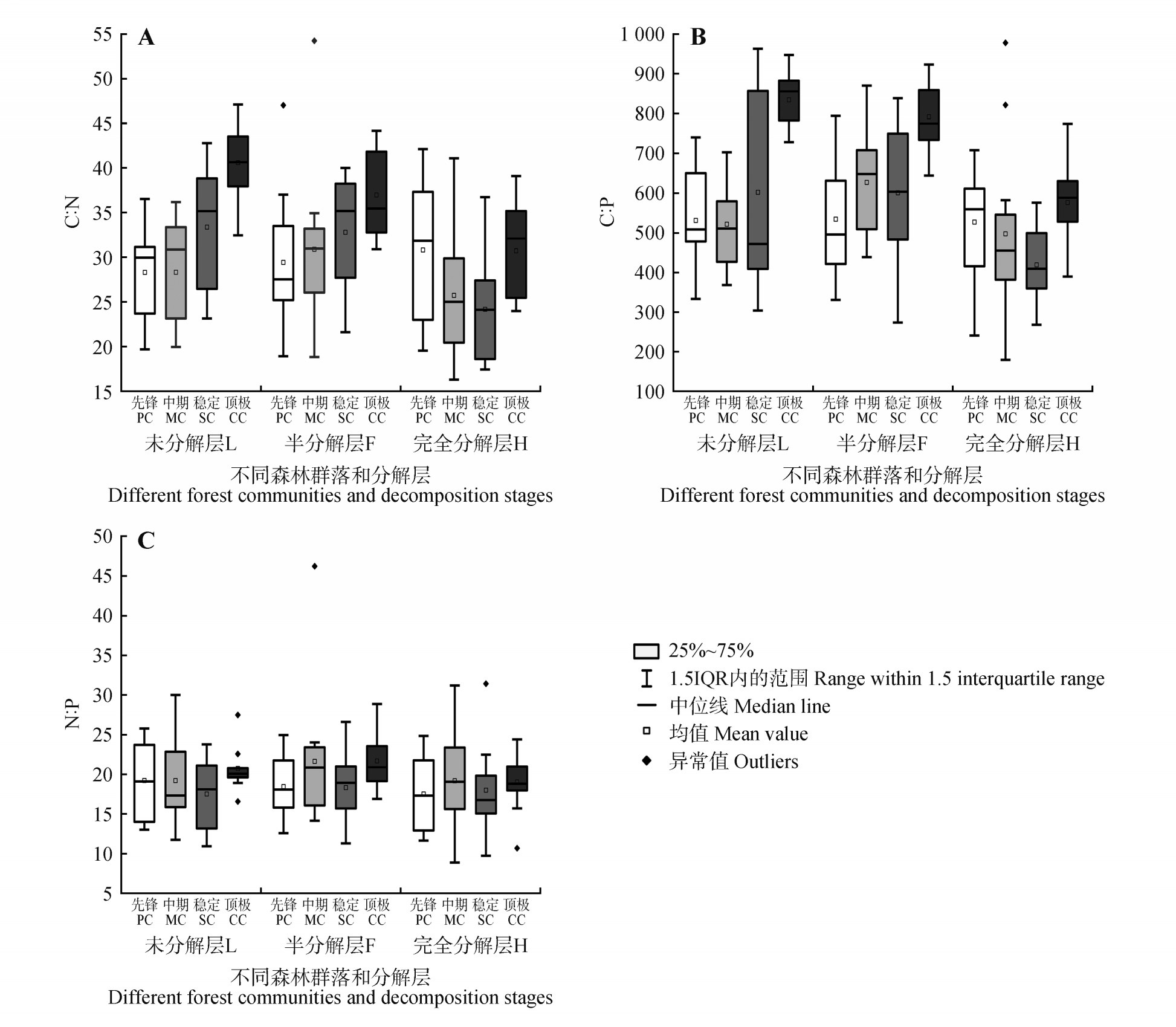
小兴安岭不同演替阶段森林地上凋落物碳密度及碳氮磷计量特征
段文标, 王郅臻, 高嘉怡, 陈立新, 付琰芮
2025, 45(5):  769-782.  doi:10.7525/j.issn.1673-5102.2025.05.011
摘要 ( 6 )   HTML ( 15)   PDF (3091KB) ( 0 )  
数据和表 | 参考文献 | 补充材料 | 相关文章 | 计量指标

凋落物为森林生态系统活跃碳(C)库,其C储量变化直接影响森林生态系统C汇能力。为明确阔叶红松(Pinus koraiensis)林凋落物C储量及其化学计量特征,并说明凋落物生态化学计量特征对其C储量的影响,揭示凋落物在生态系统C汇能力及养分循环中的作用,以阔叶红松林中生演替过程中不同演替阶段的4种森林类型(天然枫桦(Betula costata)次生林、次生阔叶林、次生针阔混交林、原始阔叶红松林)为研究对象,分析2021年7月和10月及2022年5月和8月各层(未分解层、半分解层、完全分解层)凋落物的现存量、C储量及C、氮(N)、磷(P)化学计量特征,利用冗余分析评估凋落物化学计量特征及上层植被群落特征(乔木生物量、乔木多样性、针阔比例)对凋落物C储量的相对贡献,利用线性回归分析量化凋落物化学计量特征对C储量的影响。结果表明:森林群落沿正向演替,凋落物总C储量表现出“先减小后增大”的变化趋势,且在原始阔叶红松林(顶极群落)达到最大值。顶极群落中凋落物表现出高C低P的特点,并且C∶N(质量比)与C∶P(质量比)最高。冗余分析表明,在衡量上层植被变化指标中,针阔比例是解释凋落物C储量变化的主要因子,且与凋落物C储量呈正相关。线性回归分析表明,凋落物C储量与C∶N、C∶P呈显著正相关,与N∶P(质量比)呈显著负相关,C∶N、N∶P对C储量的解释率最高,R2均为0.17。该研究表明,顶极群落凋落物C储量高于其余3种群落,这与顶极群落凋落物高C低P特征及乔木层具有较高的针阔树种比例密切相关。

生草栽培对桃园土壤氨挥发的影响
姜天佑, 梁硕硕, 李程庆, 胡留申, 熊帅, 吉喜燕, 侯梅芳, 曹林奎, 沙之敏
2025, 45(5):  783-794.  doi:10.7525/j.issn.1673-5102.2025.05.012
摘要 ( 5 )   HTML ( 13)   PDF (2298KB) ( 0 )  
数据和表 | 参考文献 | 相关文章 | 计量指标

在种植业生产中,采用常规方式种植果树引起的土壤氨挥发呈逐年增加的趋势。该研究采用密闭室便携式真空泵间歇抽气法研究生草栽培对桃园土壤氨挥发的影响,以上海市浦东新区南汇桃园在不同生草覆盖下土壤氨挥发排放量为研究对象,设置白三叶(Trifolium repens)生草覆盖栽培模式(TM)和常规施肥(NM)处理,不施肥处理为空白对照(CK)。结果表明:NM处理下桃园周年土壤氨挥发排放量和氮(N)损失率分别为13.08 kg⋅hm-2和1.15%,比TM的周年土壤氨挥发排放量和N损失率分别高2.91%和4.55%,CK的周年土壤氨挥发排放量为4.40 kg⋅hm-2,试验组TM和NM的周年土壤氨挥发排放量和N损失率无显著差异。主成分分析表明,桃园土壤氨挥发与土壤铵态氮(NH4+-N)含量和大气湿度(RH)呈正相关,且与NH4+-N呈高度正相关(P<0.01)。与中国果园平均氨排放量和长江中下游典型果园的土壤氨挥发损失相比,TM处理分别降低12.95%和76.89%。该研究表明,白三叶生草覆盖种植模式可以降低果园土壤氨排放,同时也具有增加果实质量的潜力。

白音敖包国家级自然保护区典型乔、灌木叶、枝及细根生态化学计量特征
杨昕瑜, 张硕, 张曦文, 郑青山, 苏日力格, 谷加存
2025, 45(5):  795-806.  doi:10.7525/j.issn.1673-5102.2025.05.013
摘要 ( 5 )   HTML ( 15)   PDF (2325KB) ( 0 )   知识图谱   收藏
数据和表 | 参考文献 | 相关文章 | 计量指标

为揭示半干旱地区木本植物的养分限制因子与养分利用策略,研究了内蒙古白音敖包国家级自然保护区6种典型木本植物(乔木和灌木各3种)叶、枝、吸收根和运输根碳(C)、氮(N)、磷(P)化学计量特征的差异和相关性。结果表明:6种木本植物叶平均C/N(质量比)和C/P(质量比)显著低于枝、吸收根和运输根,而吸收根平均N/P(质量比)则显著高于叶、枝和运输根(P<0.05)。乔木叶和枝平均C含量显著高于灌木,而吸收根和运输根C含量显著低于灌木(P<0.05)。乔木叶平均C/N(22.45)、C/P(291.04)分别高于灌木叶C/N(16.16)、C/P(153.70),乔木枝、吸收根和运输根平均C/N(43.84、24.56和43.56)与C/P(369.27、555.20和800.79)则分别低于灌木(C/N为61.97、32.31和52.69;C/P为542.75、725.56和813.76)。乔木仅叶平均N/P(14.12)显著高于灌木(9.53)(P<0.05)。叶C含量与枝C、P含量极显著正相关(P<0.01),吸收根与运输根N、P、C/N和C/P间显著正相关(P<0.05),而地上与地下器官间的相关性相对较弱。综上,乔木叶表现出较高的养分利用效率,而灌木地下器官则具有更高的养分利用效率,叶和枝在C分配上、吸收根和运输根在N、P分配及利用上均表现出协同关系。

黑龙江西部3种杨树生长及生理特征比较
张政, 张鹏
2025, 45(5):  807-815.  doi:10.7525/j.issn.1673-5102.2025.05.014
摘要 ( 5 )   HTML ( 16)   PDF (972KB) ( 0 )  
数据和表 | 参考文献 | 相关文章 | 计量指标

针对松嫩平原杨树人工林立地品种配置吻合度低问题,以黑龙江西部适生杨树良种黑青杨(Populus euramericana ‘N3016’×P. ussuriensis)、龙丰1号杨(P. deltoides×P. simonii ‘LongFeng-1’)、齐林1号杨(P. euramericana(Dode) cv. ‘DN113’)为对象,对比分析3个树种生长、枝叶元素化学计量关系、叶片生理特征。结果表明:3个树种年均径向生长速率为2.32~2.84 cm·a-1,其中,龙丰1号杨径向生长速率最快,齐林1号杨次之,均显著高于黑青杨(P<0.05);3个树种树干直径与树干高度之间呈二项式函数关系。龙丰1号杨和齐林1号杨枝含水率显著高于黑青杨(P<0.05);龙丰1号杨叶片比叶面积高于其他2个树种。3个树种标准枝附属高级枝及叶元素含量和元素化学计量比均存在显著差异,其中,龙丰1号杨叶片和枝氮(N)和钾(K)含量最高,齐林1号杨次之,黑青杨最低,齐林1号杨叶片磷(P)含量高于龙丰1号杨和黑青杨;3个树种标准枝附属高级枝叶片C∶N(质量比)为19.41~21.65,N∶P(质量比)为6.01~9.40。3个树种叶片碳、氮代谢水平存在显著差异,其中,黑青杨叶片可溶性糖、淀粉、非结构性碳水化合物含量高于龙丰1号杨、齐林1号杨;黑青杨叶片硝态氮、铵态氮和可溶性蛋白含量高于齐林1号杨,但游离氨基酸含量低于其他2个树种(P<0.05)。不同品种之间叶片激素水平存在差异,其中,黑青杨叶片水杨酸含量低于龙丰1号杨和齐林1号杨(P<0.05);齐林1号杨叶片脱落酸含量低于龙丰1号杨(P<0.05);龙丰1号杨叶片生长素含量低于齐林1号杨。3个树种叶片赤霉素含量无显著差异。

红松优树子代生长变异分析及优良材料选择
王芳, 杨叶磊, 苑长华, 王君, 魏伟, 吴琳, 李奎友, 李奎全, 陆志民, 王元兴, 杨雨春
2025, 45(5):  816-826.  doi:10.7525/j.issn.1673-5102.2025.05.015
摘要 ( 4 )   HTML ( 15)   PDF (694KB) ( 0 )  
数据和表 | 参考文献 | 相关文章 | 计量指标

为筛选优良红松(Pinus koraiensis)种质资源,为国家储备林建设和红松造林推广提供材料,以吉林森工露水河林业有限公司初级红松种子园中优良个体的子代为材料,对19年生218个红松优树半同胞家系的树高、胸径、材积进行方差分析、遗传参数估算、一般配合力分析、相关分析和综合评价,筛选优良家系,并在优良家系中筛选优良单株。结果显示:不同家系、区组及家系×区组间的树高、胸径、材积均具有极显著差异(P<0.01);全部红松家系树高平均值为3.22 m,胸径平均值为4.79 cm,材积平均值为0.005 08 m3,各性状表型变异系数为25.42%~82.48%,家系遗传力为0.86~0.89,单株遗传力为0.23~0.38;家系PK20的树高、胸径、材积平均值均最大,且亲本的树高、胸径和材积一般配合力均最大,除PK20外,PK33、PK6和PK46亲本各性状的一般配合力均较大;树高、胸径与材积两两性状之间呈极显著正相关。利用多性状综合评价法筛选出10个优良家系(5%入选率),入选家系的树高、胸径和材积均值分别为3.85 m、6.50 cm和0.007 50 m3,遗传增益分别为17.30%、31.02%和65.08%,分别高出当地对照均值11.60%、23.81%和62.91%;以同样方法在优良家系中选出10个优良单株(2%入选率),入选单株的树高、胸径和材积均值分别为5.06 m、10.72 cm和0.023 99 m3,遗传增益分别为11.86%、17.31%和38.68%,分别高出当地对照均值46.67%、104.19%和420.83%。以生长性状作为选择目标,初选出的优良家系和优良单株可用于良种申报,为红松的遗传改良提供理论基础,同时为林业“双增”提供良种。配合力分析得到的优质亲本,可用于杂交育种产生遗传性较好的子代。

抗松材线虫病落叶松优良家系选择
赵敏, 王峰, 王佳楠, 于淇, 张含国, 张磊
2025, 45(5):  827-836.  doi:10.7525/j.issn.1673-5102.2025.05.016
摘要 ( 3 )   HTML ( 16)   PDF (2301KB) ( 0 )  
数据和表 | 参考文献 | 相关文章 | 计量指标

该研究以2年生18个落叶松(Larix gmelinii)实生苗家系为试验对象,采用剥皮套管法接种强致病性松材线虫株系FSBX。通过计算落叶松抗显症得分、抗虫得分和抗病得分,综合筛选抗松材线虫落叶松家系。通过测定接种后第0、5、10、15天针叶叶绿素、可溶性糖、可溶性蛋白含量及超氧化物歧化酶(SOD)、抗氧化物酶(POD)活性等指标,探究落叶松在抵抗松材线虫过程中生理指标变化趋势。结果表明:抗病得分最高的落叶松是家系1311,其次是家系1305和1310。不同抗性的落叶松针叶叶绿素含量变化趋势均为先降低后升高再降低。POD活性则表现为先降低后升高再小幅降低的趋势,接种第15天时,高抗家系的POD活性显著高于其他家系;SOD活性呈现先升高后降低的趋势,接种第10天时达到峰值,高抗家系显著高于其他家系。可溶性蛋白含量表现出先降低后升高的趋势,在接种第15天时,高抗家系的可溶性蛋白含量高于其他2组,差异不显著。可溶性糖含量呈现先降低后升高再降低的趋势,接种第10天时各家系可溶性糖含量达到峰值,且感病家系可溶性糖含量高于中抗家系,而中抗家系可溶性糖含量高于高抗家系,三者差异不显著。综上,高抗家系落叶松在针叶叶绿素含量、POD和SOD活性方面表现出显著优势,而可溶性糖及可溶性蛋白含量普遍低于其他家系,但在病害后期,高抗家系的生理指标高于中抗及感病家系,说明高抗家系在逆境胁迫后期仍能维持较高的抗逆性。

双月刊,1959年创刊
主  管:中华人民共和国教育部
主  办:东北林业大学
编辑出版:《植物研究》编辑部
名誉主编:祖元刚
主  编:付玉杰
ISSN 1673-5102
CN 23-1480/S

微信二维码
在线期刊
  • 当期目录
  • 最新录用
  • 全年目次
  • 按栏目浏览
  • 过刊浏览
  • 阅读排行
  • 下载排行
  • 引用排行
  • E-mail Alert
  • RSS
友情链接
  • 科学
  • 《自然》
  • 森林植物生态教育部重点实验室
  • Scopus Preview
  • 东北林业大学
  • 《科学》
  • 中国植物学会
  • 《自然》
更多...
访问统计
    总访问量
    今日访问
    在线人数
黑ICP备19004777号
版权所有 © 《植物研究》编辑部
地址:哈尔滨市和兴路26号 邮编:150040
电话:0451-82190611  传真:0451-82190611  Email:zhiwuyanjiu@vip.163.com
本系统由北京玛格泰克科技发展有限公司设计开发 技术支持:support@magtech.com.cn