Please wait a minute...

当期目录

    2025年 第45卷 第4期    刊出日期:2025-07-20
    上一期   
    前瞻观点
    本草基因组学赋能中药资源可持续利用
    徐志超, 陈士林
    2025, 45(4):  471-478.  doi:10.7525/j.issn.1673-5102.2025.04.001
    摘要 ( 133 )   HTML ( 49)   PDF (1760KB) ( 6 )  
    数据和表 | 参考文献 | 相关文章 | 计量指标
    综述文章
    植物萜类化合物生物合成及其功能研究进展
    薛永常, 王贺贤, 赵娣, 郭静, 李澳
    2025, 45(4):  479-490.  doi:10.7525/j.issn.1673-5102.2025.04.002
    摘要 ( 254 )   HTML ( 71)   PDF (1908KB) ( 29 )  
    数据和表 | 参考文献 | 相关文章 | 计量指标

    萜类化合物作为关键的次生代谢产物,参与植物在逆境胁迫下的抗氧化、信号传递及气孔运动等生理过程,在植物逆境响应中扮演着重要角色。它们不仅可以直接参与植物的防御机制,还能够作为信号分子调节植物间的相互作用,影响植物群体的适应性和稳定性。由于广泛的生物活性,萜类化合物在食品、医药和化妆品等行业中得到了广泛应用。随着合成生物技术的发展,萜类化合物研究将变得更加多样化且充满挑战,应用前景也将更加广阔。该文综合分析了植物中萜类化合物的生物合成途径及其生理生态功能,旨在深化对植物逆境适应策略的理解,为植物抗逆性研究提供参考,并为可持续农业和医药健康产业发展提供新途径。

    研究论文
    钩藤水杨酸响应基因UrSTR4参与钩藤碱合成
    许国菊, 郭飘雪, 朱寻然, 杨兹梅, 成环宇, 强玮
    2025, 45(4):  491-503.  doi:10.7525/j.issn.1673-5102.2025.04.003
    摘要 ( 127 )   HTML ( 55)   PDF (4054KB) ( 2 )  
    数据和表 | 参考文献 | 相关文章 | 计量指标

    钩藤(Uncaria rhynchophylla)是我国传统中药材,其活性成分钩藤碱(RIN)和异钩藤碱(IRN)具有显著药理活性。异胡豆苷合成酶(STR)是RIN和IRN合成的关键酶,但其基因家族在钩藤中的功能分化尚不明确。该研究基于遮阴、乙烯处理下钩藤转录组及全长转录组数据,系统鉴定了27个钩藤STR基因家族成员(UrSTR1~UrSTR27)。进化分析表明,钩藤UrSTR基因家族显著扩张,可能通过功能分化响应不同环境信号。通过外源水杨酸(SA)处理发现,0.6 mmolL-1 SA处理显著提升钩藤叶片RIN和IRN含量,并强烈诱导UrSTR4基因表达,该基因相对表达水平提高至对照的30.6倍。多序列比对显示,UrSTR4基因编码蛋白虽缺失典型催化位点Glu-309,但与喜树CaSTR3基因编码蛋白具有相似羟基氨基酸残基。为验证其功能,首次建立基于植物活体转化系统的钩藤高效瞬时转化体系,转化最佳条件:8 kPa气压,1 min农杆菌侵染。瞬时过表达UrSTR4基因使RIN和IRN含量分别提高至对照的1.96倍和1.82倍。该研究为钩藤药用成分的代谢调控提供了新靶点,建立的瞬时转化体系为UrSTR基因功能研究提供了技术支撑。

    淫羊藿养分吸收规律及其与药效成分的关系
    段莹, 徐晓娟, 毛洁, 赵晨霞, 王惠珍, 陈红刚, 孟瑾瑾, 杜弢
    2025, 45(4):  504-517.  doi:10.7525/j.issn.1673-5102.2025.04.004
    摘要 ( 107 )   HTML ( 47)   PDF (3057KB) ( 1 )  
    数据和表 | 参考文献 | 相关文章 | 计量指标

    为探明淫羊藿(Epimedium brevicornu Maxim.)营养元素吸收分配特征和药效成分积累规律,明确影响药效成分积累的特征元素,以3年生淫羊藿为研究对象,测定干物质积累量、营养元素含量及叶中黄酮类成分含量,并分析叶中黄酮类成分与营养元素之间相关性。结果表明:(1)随着生育期延长,干物质积累呈先升后降趋势,果后生长期(T5)干物质快速积累,达到最大值。(2)生育期内地上部氮和磷含量总体呈下降趋势,而地下部与之相反,地上部钾含量呈下降-上升-下降的变化规律,地下部钾含量无明显变化,结果期(T4)氮、磷、钾元素净积累量最大。(3)生育期内11种营养元素积累量表现为氮>钙>钾>镁>磷>硫>铁>锰>锌>铜>硼。(4)叶中黄酮类成分积累量呈先升后降趋势。(5)相关性分析表明,黄酮类成分含量与镁、铁、铜含量协同作用显著,与硼、锰含量存在拮抗作用;逐步回归分析表明,氮、钙、锰、铁元素是影响叶中黄酮类成分含量的特征元素。可见,淫羊藿干物质积累与养分积累在结果期最为关键,应在结果期到达前施入大量元素,以氮肥和钾肥为主,保证镁、铁、铜元素供给。药效成分积累量在果后生长期最大,结合该试验结果与当地气候条件,建议甘肃临夏及相似地区淫羊藿叶片于9月上旬采收。

    环境因子对党参有效成分含量的影响
    郭皓, 陈彩霞, 安晓静, 李先恩, 王海英, 夏忠庭
    2025, 45(4):  518-532.  doi:10.7525/j.issn.1673-5102.2025.04.005
    摘要 ( 195 )   HTML ( 69)   PDF (3493KB) ( 6 )  
    数据和表 | 参考文献 | 相关文章 | 计量指标

    为明确影响党参(Codonopsis pilosula)有效成分含量的关键因子,该研究探究不同产区的气象、土壤等32种环境因子的作用,为党参规范化种植的产地环境选择提供科学依据。该研究通过收集党参主产区(重庆、内蒙古、甘肃、山西)共27个采样点的栽培党参及其根区土壤样本,测定不同产地土壤理化指标和党参中党参炔苷、多糖的含量,分析各环境因子与党参有效成分含量的相关性。结果表明:党参有效成分含量具有区域性差异;赤峰市阿鲁科尔沁旗的党参中多糖质量分数最高,为386 mgg-1;重庆市巫溪县的样品中党参炔苷质量分数最高,为2.128 mgg-1。月气温极值对党参有效成分含量产地差异的方差贡献最高,其次为土壤酶活力及有机质因子,土壤养分的方差贡献最低。不同环境因子对党参多糖和党参炔苷积累影响各异。党参多糖主要受土壤有机质、10月降水量及碱性磷酸酶活力影响,而党参炔苷主要受土壤速效氮、土壤酸性磷酸酶活力及5月、7—8月最低气温和土壤pH影响。综上,月气温极值主导党参有效成分含量变化,另外,还需关注降水量、土壤养分及磷酸酶活力的影响。

    二倍体青钱柳愈伤组织诱导及次生代谢物积累
    李卓穗, 高一琳, 刘寒, 尚旭岚
    2025, 45(4):  533-545.  doi:10.7525/j.issn.1673-5102.2025.04.006
    摘要 ( 129 )   HTML ( 53)   PDF (3342KB) ( 1 )  
    数据和表 | 参考文献 | 相关文章 | 计量指标

    为探索激素组合对二倍体青钱柳(Cyclocarya paliurus)愈伤组织诱导和增殖的影响,以及继代增殖过程中主要次生代谢产物的积累规律,该研究以二倍体青钱柳叶片为外植体材料,采用正交试验设计,研究不同激素组合对愈伤组织诱导和继代增殖过程中次生代谢物积累的影响,以总三萜、总多酚、总黄酮、粗多糖产量为指标,采用熵权法筛选优良继代配方。处理2(0.5 mgL-1 6-BA+1 mgL-1 2,4-D+0.2 mgL-1 NAA)下二倍体青钱柳愈伤组织诱导率最高,为100%,其次是处理9(2.5 mgL-1 6-BA+1.5 mgL-1 2,4-D+0.2 mgL-1 NAA)和处理5(1.5 mgL-1 6-BA+1 mgL-1 2,4-D+0.4 mgL-1 NAA),愈伤组织诱导率分别为96.67%、93.64%。影响诱导率的因素主次顺序为2,4-D>NAA>6-BA,2,4-D最佳质量浓度为1.0 mgL-1,NAA最佳质量浓度为0.2 mgL-1,6-BA无显著影响;诱导出的愈伤组织颜色有嫩绿色、黄绿色,愈伤组织形态均呈现疏松质地。采用不同激素组合配方进行继代增殖,各处理的愈伤组织生长及代谢产物积累存在差异,同一处理下不同继代增殖过程中愈伤组织生长性状变化也较大;按综合得分排序第1的配方为处理4(0.2 mgL-1 KT+0.5 mgL-1 6-BA+0.75 mgL-1 NAA+0.4 mgL-1 2,4-D),得分为0.44,其次是处理2(0.75 mgL-1 6-BA+0.75 mgL-1 NAA+0.2 mgL-1 2,4-D)和处理6(0.2 mgL-1 KT+1.0 mgL-1 6-BA+0.5 mgL-1 NAA+0.2 mgL-1 2,4-D),综合得分分别为0.31、0.26。处理4下愈伤组织继代培养至第8代时,主要次生代谢物产量普遍达到较高水平,总三萜产量为28.91 mg-1,总多酚产量为6.89 mg-1,总黄酮产量为1.77 mg-1,粗多糖产量为57.45 mg-1。综上,最佳的二倍体青钱柳愈伤组织诱导配方为MS+0.5 mgL-1 6-BA+1.0 mgL-1 2,4-D+0.2 mgL-1 NAA,继代增殖配方为MS+0.2 mgL-1 KT+0.5 mgL-1 6-BA+0.75 mgL-1 NAA+0.4 mgL-1 2,4-D。该研究可为利用青钱柳愈伤组织培养及进一步的细胞悬浮培养生产次生代谢物提供参考。

    香果树种子萌发的光照需求及其转录组响应分析
    程薪宇, 郭梦桥, 官海云, 茹剑, 白琰, 郭连金
    2025, 45(4):  546-557.  doi:10.7525/j.issn.1673-5102.2025.04.007
    摘要 ( 141 )   HTML ( 61)   PDF (2005KB) ( 2 )  
    数据和表 | 参考文献 | 相关文章 | 计量指标

    为探究中国特有濒危植物香果树(Emmenopterys henryi)种子萌发所需光照时间及不同光照时间下种子形态性状与萌发率间相关性,以香果树种子为研究材料,比较0、1、2(8 h/1st day+4 h/2nd day)、2、4、6、8 d光照处理下种子萌发率差异,观察并分析种子形态与萌发时间相关性。同时,利用高通量测序技术对经避光(2 d)与基础光照(种子萌发率≥50%所需的最短光照时间,2 d)处理的香果树种子进行转录组测序与分析。结果显示:光照处理条件下,供试种子萌发率随光照时间延长而提高,8 d光照处理种子培养至10 d萌发率为98.89%;种子形态特征与萌发时间相关性分析结果显示,种仁长、种仁长宽比与萌发时间呈显著负相关(P<0.05)。避光(2 d)与基础光照(2 d)处理的种子转录组响应及其生物信息学解析共发现4 657个显著差异表达基因(DEGs),上调表达的基因为2 950个,下调表达的基因为1 707个。鉴定出的185个转录因子中,光照处理组HSF家族成员全部表达下调,蛋白质代谢相关GO term被显著富集。DEGs在二萜生物合成(ko00904)、半胱氨酸与甲硫氨酸代谢(ko00270)和植物-病原菌互作(ko04626)等与胚发育、种苗抗逆性相关的KEGG通路上显著富集(P-adjust<0.05)。综上,香果树种子中种仁较大者萌发更早,光照2 d可满足香果树种子萌发的基本需求。该研究为揭示香果树野外种群结构异常的形成机制及推动野外种群复壮提供理论依据。

    濒危植物岩生鼠尾草的组培快繁技术
    王莹莹, 余登利, 邱风进, 晏融融, 胡国雄
    2025, 45(4):  558-568.  doi:10.7525/j.issn.1673-5102.2025.04.008
    摘要 ( 169 )   HTML ( 64)   PDF (3474KB) ( 13 )  
    数据和表 | 参考文献 | 相关文章 | 计量指标

    为建立濒危植物岩生鼠尾草(Salvia petrophila)的组培快繁体系,对岩生鼠尾草成熟种子消毒及萌发、基部带腋芽茎段继代增殖、无菌苗茎段愈伤组织诱导及分化、不定芽生根、炼苗移栽进行研究。结果表明:(1)岩生鼠尾草种子的适宜消毒方法为75%乙醇溶液处理30 s,5%次氯酸钠(NaClO)溶液消毒8 min,种子发芽率为40.83%。(2)种子萌发适宜培养基为MS+1.0 mgL-1 6-BA+0.1 mgL-1 NAA,发芽率为71.12%。(3)基部带腋芽茎段继代增殖适宜培养基为MS+1.0 mgL-1 6-BA+0.1 mgL-1 NAA,增殖系数为5.5。(4)无菌苗茎段愈伤组织诱导适宜培养基为MS+1.0 mgL-1 6-BA+1.0 mgL-1 2,4-D,诱导率高达97.10%;愈伤组织适宜分化培养基为MS+1.5 mgL-1 6-BA+0.1 mgL-1 NAA。(5)岩生鼠尾草不定芽生根适宜培养基为1/2MS+1.0 mgL-1 NAA,生根系数高达99.11%。(6)泥炭土、珍珠岩和蛭石体积比为1∶1∶1的混合基质为适宜栽培基质,移栽成活率高达85.5%。研究结果可为岩生鼠尾草的保护和利用奠定技术基础,同时也可为鼠尾草属其他植物的繁殖技术提供新的研究思路。

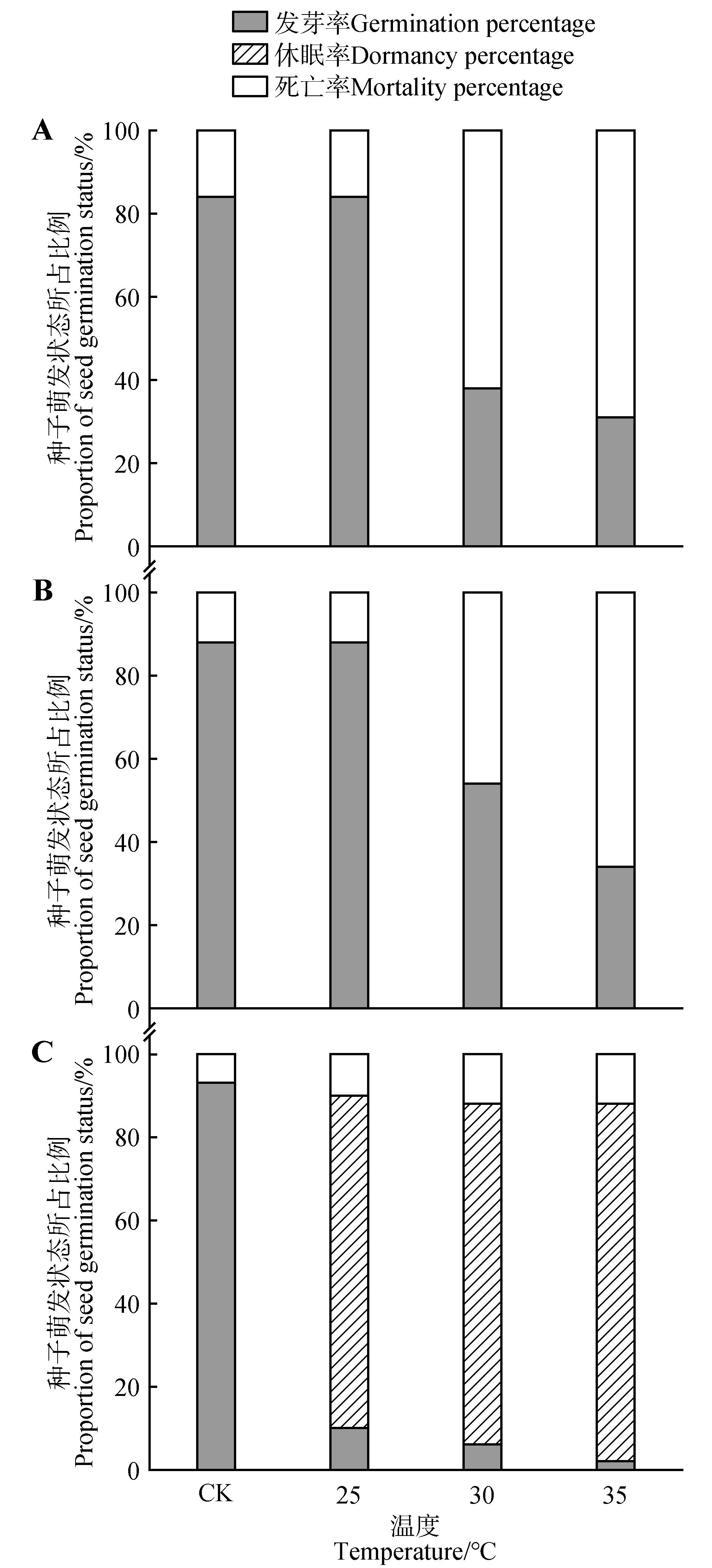
    不同初生休眠类型林木种子适宜萌发温度及其对热休眠诱导的响应
    王喆, 李明月, 朱美如, 张鹏
    2025, 45(4):  569-579.  doi:10.7525/j.issn.1673-5102.2025.04.009
    摘要 ( 129 )   HTML ( 58)   PDF (1305KB) ( 3 )  
    数据和表 | 参考文献 | 相关文章 | 计量指标

    为研究不同初生休眠类型林木种子的适宜萌发温度及其对热休眠诱导的响应,以3种初生休眠类型(非休眠、物理休眠和生理休眠)的9个树种解除休眠后的种子为材料,分别在5、10、15、20、25、30、35 ℃的恒温下进行萌发试验,根据萌发表现确定不同树种的适宜萌发温度;在此基础上,在25、30、35 ℃下对种子进行高温培养并转移至适宜萌发温度进行14 d萌发试验,根据种子萌发表现比较不同初生休眠类型种子对热休眠诱导的响应规律。结果表明:不同初生休眠类型种子的适宜萌发温度表现出一定差异,非休眠种子(红皮云杉(Picea koraiensis)、华北落叶松(Larix principis-rupprechtii)、黑松(Pinus thunbergii))的适宜萌发温度为10~25 ℃,物理休眠种子(山皂荚(Gleditsia japonica)、刺槐(Robinia pseudoacacia)、紫穗槐(Amorpha fruticosa))的适宜萌发温度为10~35 ℃,生理休眠种子(油松(Pinus tabuliformis)、花曲柳(Fraxinus rhynchophylla)、秋子梨(Pyrus ussuriensis))的适宜萌发温度为5~30 ℃;高温抑制大部分种子萌发,仅生理休眠的秋子梨种子在高温下进入热休眠(休眠率80%~86%),而生理休眠的其他(油松和花曲柳)种子表现出较高的死亡率(46%~69%),非休眠种子表现出更高的死亡率(56%~100%),物理休眠种子表现为低死亡率(24%~64%),物理休眠种子在25~35 ℃高温下种子萌发率为36%~76%。非休眠和物理休眠种子在高温下萌发未进入热休眠,生理休眠种子在高温下是否进入热休眠、热休眠状态表现不一致。

    拟南芥细胞组蛋白分子伴侣HIRA对增强UV-B辐射的响应
    毛倩雯, 王国华, 韩榕
    2025, 45(4):  580-591.  doi:10.7525/j.issn.1673-5102.2025.04.010
    摘要 ( 109 )   HTML ( 52)   PDF (6877KB) ( 3 )  
    数据和表 | 参考文献 | 相关文章 | 计量指标

    UV-B辐射对植物生长有显著抑制作用,导致根系短小和DNA损伤。研究发现,组蛋白分子伴侣HIRA(HISTONE REGULATOR A)在染色质相关的DNA损伤修复中发挥作用。该研究以哥伦比亚生态型拟南芥(Arabidopsis thaliana)及hira突变体为材料,比较对照组(-UV-B)和UV-B处理组(+UV-B)的表型及生理指标,结果显示:HIRA基因缺失导致拟南芥根系变短、植株矮小。UV-B处理后,hira突变体的根长显著短于野生型,根部活性氧和丙二醛含量增加,而根部可溶性蛋白质含量和叶片叶绿素含量下降。拟南芥遗传转化亚细胞定位结果显示,HIRA定位于细胞核,UV-B辐射引发突变体根尖分生区细胞出现染色体桥和异常有丝分裂。进一步研究结果表明,UV-B辐射显著上调了DNA损伤修复基因的表达。综上,UV-B辐射下,HIRA参与拟南芥根尖细胞有丝分裂及损伤修复过程。

    叶面TiO2-NPs预处理对UV-B胁迫下小麦幼苗生长抑制的缓解效应
    王建华, 陈慧泽, 韩榕
    2025, 45(4):  592-602.  doi:10.7525/j.issn.1673-5102.2025.04.011
    摘要 ( 89 )   HTML ( 51)   PDF (3558KB) ( 1 )  
    数据和表 | 参考文献 | 相关文章 | 计量指标

    为了揭示叶面TiO2-NPs(二氧化钛纳米颗粒)预处理对UV-B胁迫下小麦幼苗生长抑制的缓解效应,以小麦(Triticum aestivum)为研究材料,在细胞水平、生理生化水平和基因水平综合研究UV-B胁迫和叶面TiO2-NPs预处理下小麦幼苗有丝分裂、DNA损伤、抗氧化酶系统和抗氧化相关基因表达特征。结果表明:叶面10 mg∙L-1 TiO2-NPs预处理可以显著缓解低剂量(5.04 kJ∙m-2)和高剂量(10.08 kJ∙m-2)UV-B胁迫对小麦幼苗生长的抑制作用。低剂量和高剂量UV-B胁迫下,叶面TiO2-NPs预处理小麦幼苗的株高比对照分别增加44.71%和127.43%,根长分别增加38.92%和159.10%,植株鲜质量分别增加50.03%和78.67%,干质量分别增加37.33%和126.84%。在低剂量和高剂量UV-B胁迫下,叶面TiO2-NPs预处理的小麦根尖细胞有丝分裂异常比例仅为对照的39.57%和28.63%,细胞内部嘧啶二聚体(CPDs)含量也较对照组分别降低了60.43%和48.81%。抗氧化系统相关试验结果显示,在低剂量和高剂量UV-B胁迫下,叶面TiO2-NPs预处理小麦叶片黄酮醇含量分别是对照的1.44倍和1.53倍,黄酮醇合成基因(CHSCHI)和超氧化物歧化酶基因SOD的表达显著上调,提高了植物活性氧(ROS)清除能力。综上,叶面10 mg∙L-1 TiO2-NPs预处理可以显著增强小麦幼苗抗氧化系统活性,减少ROS对植物的损伤效应,提高植物对UV-B胁迫的耐受性。

    镉和微塑料及二者复合对秋茄生长及光合特征的影响
    柴民伟, 吴一凡, 李瑞利, 周琳, 沈小雪
    2025, 45(4):  603-613.  doi:10.7525/j.issn.1673-5102.2025.04.012
    摘要 ( 174 )   HTML ( 55)   PDF (2315KB) ( 7 )  
    数据和表 | 参考文献 | 相关文章 | 计量指标

    城市红树林面临重金属和微塑料(MPs)复合污染的环境问题。其中,镉(Cd)具有较高的生态风险,聚乙烯(PE)和聚氯乙烯(PVC)是红树林中常见的微塑料污染物。该研究以红树植物秋茄(Kandelia obovata)为研究对象,开展重金属Cd(0、5、50 mgkg-1)和微塑料(小粒径PE(13 μm)、大粒径PE(830 μm);小粒径PVC(13 μm)、大粒径PVC(830 μm))复合胁迫试验,探究Cd和MPs及二者复合对秋茄生长和光合特征的影响。结果表明:(1)PE对秋茄生长的影响不显著;在高Cd胁迫(50 mgkg-1)下,大粒径PVC显著抑制根和叶的生长(P<0.05)。(2)叶中营养元素Na、K、Ca、Mg含量受Cd胁迫程度、MPs类型和粒径的影响。(3)MPs与Cd对叶绿素含量的抑制具有协同作用,其中,低Cd(5 mgkg-1)与小粒径PVC复合胁迫下叶片中叶绿素a和类胡萝卜素含量最低,高Cd与小粒径PVC复合胁迫下叶片中叶绿素b含量最低;在高Cd胁迫下,小粒径PVC处理使叶净光合速率(Pn)、气孔导度(Gs)和蒸腾速率(Tr)及叶片实际光化学量子产量(Y(Ⅱ))、电子传递速率(ETR)、光化学淬灭系数(qP)和光化学耗散的相对份额(P)显著提高(P<0.05),说明小粒径PVC处理可以缓解Cd胁迫对秋茄光合作用的毒害作用;与单独Cd胁迫相比,Cd与PE复合胁迫对秋茄叶绿素荧光参数无显著影响。综上,PE及其与Cd复合胁迫对秋茄生长及光合作用影响不显著;PVC对Cd胁迫具有较强的协同作用,小粒径PVC缓解Cd对秋茄光合作用的负面影响,而大粒径PVC的毒害作用更强。

    镉胁迫下大花百子莲耐受性和富集特性
    王莹, 赵茂锦, 刘修明, 吴宜宣, 朱家浩, 汪成忠
    2025, 45(4):  614-626.  doi:10.7525/j.issn.1673-5102.2025.04.013
    摘要 ( 101 )   HTML ( 55)   PDF (2045KB) ( 1 )  
    数据和表 | 参考文献 | 相关文章 | 计量指标

    为了给镉(Cd)污染土壤修复提供具有景观效果的植物材料,该试验采用盆栽方法,研究土壤中不同质量分数(0、200、500 mgkg-1)外源镉添加对大花百子莲Agapanthus praecox ssp. orientalis ‘Big Blue’耐受性和富集特性的影响。结果表明:随着镉质量分数升高,大花百子莲叶片和根部的生物量有所下降,镉质量分数为200 mgkg-1时,与对照相比,叶片生物量下降不显著,而根部生物量显著下降。与对照相比,叶片的过氧化氢酶、过氧化物酶、超氧化物歧化酶活性及丙二醛、可溶性蛋白、脯氨酸含量在镉质量分数为500 mgkg-1时显著提高,根部相应的指标在镉质量分数为200 mgkg-1时显著提高;叶片和根部的可溶性糖含量在镉质量分数为500 mgkg-1时显著提高。上述结果说明:大花百子莲对重金属镉有一定的耐受性,根部较叶片对镉胁迫更敏感。500 mgkg-1镉胁迫下,叶绿素a、叶绿素b、叶绿素a+b含量、叶绿素a/b、类胡萝卜素含量显著低于对照;除胞间CO2摩尔分数外,蒸腾速率、光合速率、气孔导度显著低于对照;除非光化学淬灭系数(NPQ)外,最大光化学效率(Fv/Fm)、PSⅡ潜在活性(Fv/Fo)、实际光化学效率(ΦPSⅡ)、光化学淬灭系数(qP)有所减少,显著低于对照。镉胁迫下,大花百子莲叶片和根部的富集系数小于1,转运系数大于1,不完全符合镉超积累植物标准,但对镉具有很强的富集作用。综上,大花百子莲在镉质量分数低于200 mgkg-1时,能通过自身调节来维持正常生长,对镉胁迫具有一定耐受性和富集性,可以作为具有景观效果的植物修复材料,并且大花百子莲叶片和根部的生物量及镉含量4个指标可以作为衡量镉胁迫耐受性的重要指标。

    盐肤木大小孢子发生及雌雄配子体发育
    张霞, 周财, 卞妍悦, 张颜泽谦, 陈发菊
    2025, 45(4):  627-635.  doi:10.7525/j.issn.1673-5102.2025.04.014
    摘要 ( 138 )   HTML ( 54)   PDF (5872KB) ( 6 )  
    数据和表 | 参考文献 | 相关文章 | 计量指标

    利用石蜡切片技术观察盐肤木(Rhus chinensis)雌花和雄花的大、小孢子发生和雌、雄配子体发育,为揭示其性别功能分化提供胚胎发育证据。结果表明:(1)盐肤木花属于完全花,花中的雌蕊或雄蕊选择性退化形成功能性雌花或功能性雄花。(2)功能性雄花的花药发育过程中,小孢子四分体呈正四面体型,成熟花粉粒为2-细胞型;功能性雄花的胚珠能正常发育至单核胚囊,但在二核胚囊至八核胚囊发育过程存在异常,胚囊核消失,最终不能形成可育雌配子体。(3)功能性雌花的胚珠发育过程中,大孢子四分体呈直线型,合点端的功能大孢子发育成八核胚囊,胚囊发育方式为蓼型。功能性雌花的花药发育过程中,绒毡层在造孢细胞时期解体,造孢细胞凋亡,最终花药室萎缩败育。盐肤木的雌、雄配子的发育特征与其他漆树科(Anacardiaceae)植物的发育模式相似,胚珠在二核胚囊至八核胚囊时期发育异常,导致雌蕊败育形成功能性雄花;绒毡层及造孢细胞异常解体,导致雄蕊败育形成功能性雌花。

    川莓花蜜腺泌蜜节律及发育形态特征
    沈燕, 唐晓宇, 唐秀俊, 罗丽林, 黄振兴, 刘曼
    2025, 45(4):  636-647.  doi:10.7525/j.issn.1673-5102.2025.04.015
    摘要 ( 124 )   HTML ( 43)   PDF (5742KB) ( 2 )  
    数据和表 | 参考文献 | 相关文章 | 计量指标

    川莓(Rubus setchuenensis)是优质蜜源植物,为了解其泌蜜节律、花蜜腺发育形态特征,在观察记录川莓花部泌蜜特征基础上,通过石蜡切片和扫描电镜分别观察了5个发育时期(幼蕾期、花蕾期、初花期、盛花期及散粉后期)花蜜腺发育形态解剖特征及超微结构。川莓在贵州省湄潭县的开花期为6—11月,花蜜分泌旺盛期为7—9月;单朵花的开花期为3 d,泌蜜期为2 d,单朵花泌蜜总量及含糖总量平均值分别为(30.58±3.60) μL和(7.14±2.33) mg。川莓花蜜腺位于雄蕊基部与子房之间的浅盘状花托内壁上,由表皮、蜜腺薄壁细胞和维管束 3部分组成,依据蜜腺着生位置、解剖结构特征及有无淀粉粒消长变化3个角度划分,川莓花蜜腺分别属于花托蜜腺、结构蜜腺和淀粉型蜜腺。花蜜腺发育始于幼蕾期,表皮气孔始现于花蕾期,原蜜由维管束提供,以淀粉的形式储存于蜜腺细胞中。淀粉粒从幼蕾期开始积累,淀粉粒含量、花蜜腺表皮气孔大小和开口面积及蜜腺厚度等均在初花期达到最大,此时花蜜腺发育成熟,花蜜由蜜腺表皮表面的角质层和气孔泌出,盛花期和散粉后期的淀粉粒几近消失。

    3种附生兰气生根初生结构的种间差异比较
    任隐, 王文娜
    2025, 45(4):  648-658.  doi:10.7525/j.issn.1673-5102.2025.04.016
    摘要 ( 126 )   HTML ( 47)   PDF (3459KB) ( 1 )  
    数据和表 | 参考文献 | 相关文章 | 计量指标

    为理解附生兰气生根结构与功能间的关联,该研究采用石蜡包埋技术获取了美花石斛(Dendrobium loddigesii)、文心兰(Oncidium flexuosum)和金钗石斛(D. nobile)气生根初生结构的横截面切片,通过皮层组织和维管组织等结构横截面积,以及皮层细胞与导管的数量和尺寸等特征,分析这些植物气生根横截面积变化的解剖学原因。结果表明:(1)气生根横截面积在不同种类间存在显著差异(P<0.05),其中,金钗石斛的气生根横截面积最大,文心兰次之,美花石斛最小。在各个种中,根被和皮层占根横截面积的比例较高,分别为43.97%~57.03%、37.46%~48.80%,从而与根横截面积呈现高度相关(r=0.91~0.98,P<0.05)。(2)皮层组织面积与皮层细胞特征、维管组织面积与导管特征之间也存在显著相关性(P<0.05)。其中,皮层组织面积与平均皮层细胞直径的关联(r=0.68~0.90)强于与皮层细胞层数间的关联(r=0.56~0.66),而维管组织面积与导管数量的关联(r=0.64~0.77)强于与平均导管直径的关联(r=0.58~0.71)。(3)金钗石斛的皮层和维管组织面积占根横截面积的比例显著低于其他2种植物,而根被面积比例显著更高,同时具有更多且更粗的导管,总导管面积更大,但导管密度更低,体现了不同种类附生兰在资源获取和应对干旱胁迫策略上的多样性。综上所述,该研究明晰了3种附生兰气生根横截面积变化的解剖学机制及资源获取策略的种间差异,并为深入理解植物根系结构与功能间关系提供了新的科学视角。