植物研究 ›› 2025, Vol. 45 ›› Issue (5): 675-685.doi: 10.7525/j.issn.1673-5102.2025.05.003
胡昕怡1, 许黎明2(), 覃伯韬1, 安倚东1, 蒋国凤1(
)
收稿日期:
2025-03-06
出版日期:
2025-09-20
发布日期:
2025-09-28
通讯作者:
许黎明,蒋国凤
E-mail:dawn111305@163.com;gfjiang@gxu.edu.cn
作者简介:
胡昕怡(1997—),女,硕士研究生,主要从事植物生理生态学研究。
基金资助:
Xinyi HU1, Liming XU2(), Botao QIN1, Yidong AN1, Guofeng JIANG1(
)
Received:
2025-03-06
Online:
2025-09-20
Published:
2025-09-28
Contact:
Liming XU, Guofeng JIANG
E-mail:dawn111305@163.com;gfjiang@gxu.edu.cn
摘要:
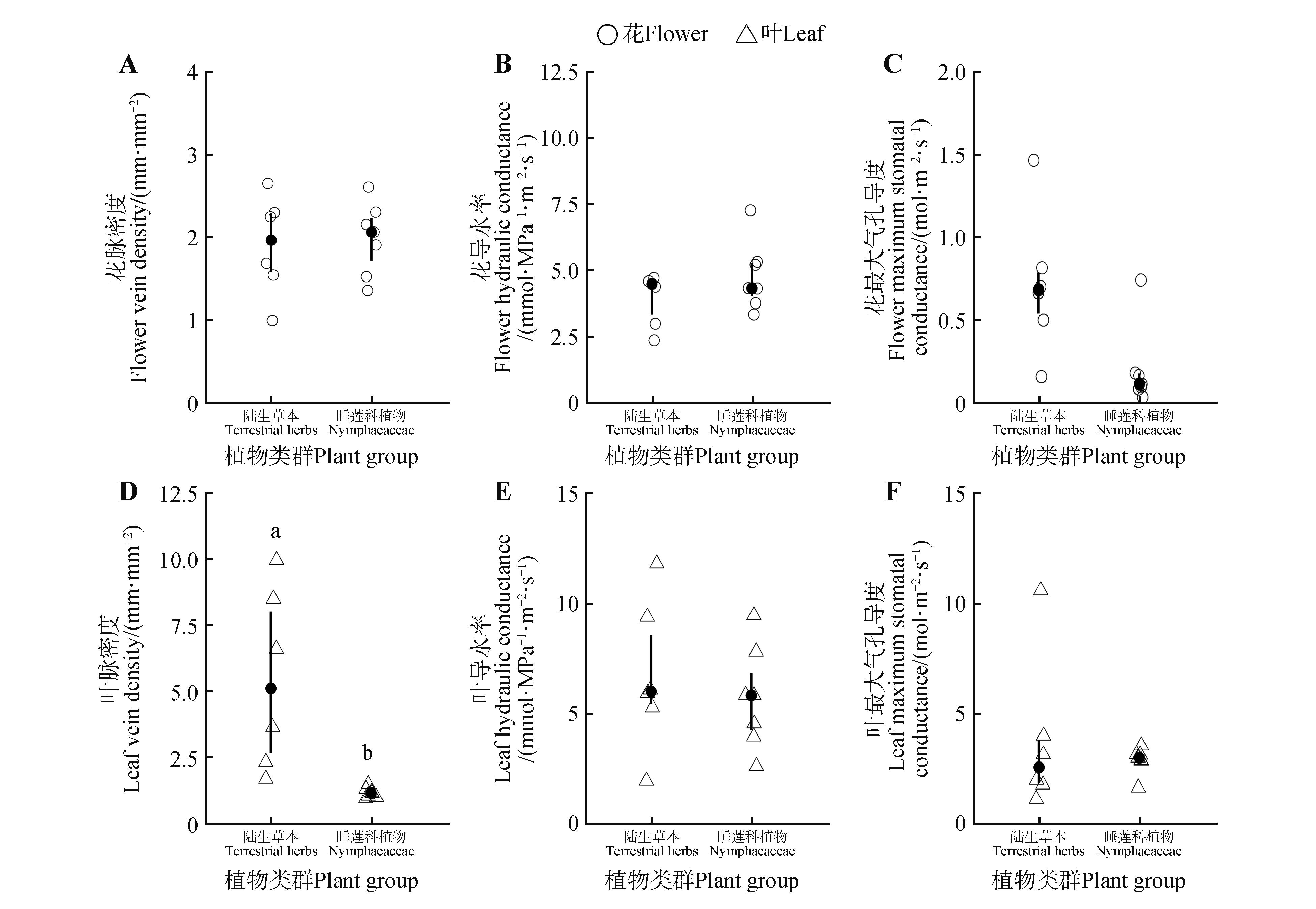
陆生被子植物主要通过叶脉与气孔的协调来平衡供耗水,表皮细胞在此过程中发挥重要作用。然而,在睡莲科(Nymphaeaceae)植物中相关研究非常有限。该研究以7种睡莲科植物、6种陆生草本植物为对象,通过量化分析花、叶的解剖特征,探讨睡莲科种内及2类群间花、叶性状差异。结果表明:睡莲科植物花比叶具更大的气孔、表皮细胞及更高的脉密度,叶表现出更高的气孔密度、表皮细胞密度及气孔指数。睡莲科植物花的解剖性状与陆生草本植物相似,叶的表皮细胞密度、气孔密度显著高于陆生草本植物叶,气孔大小、表皮细胞大小、叶脉密度、气孔指数显著低于陆生草本植物叶。睡莲科植物花气孔密度与表皮细胞大小、花脉密度均无关;叶中表皮细胞大小与气孔密度呈负相关,气孔密度与叶脉密度解耦。主成分分析表明,与陆生草本植物相比较,睡莲科植物花具有表皮细胞密度优势;叶性状区域完全分离,睡莲科植物叶具有表皮细胞密度和气孔密度优势。综上,睡莲科植物花因挺水特征表现出与陆生草本植物花相似的性状,叶片中气孔与脉之间的解耦反映了其对水生环境的适应性演化。上述结果为研究水生植物水分利用特征及环境适应机制提供了重要依据。
中图分类号:
胡昕怡, 许黎明, 覃伯韬, 安倚东, 蒋国凤. 睡莲科植物叶与陆生草本植物叶供耗水特征差异[J]. 植物研究, 2025, 45(5): 675-685.
Xinyi HU, Liming XU, Botao QIN, Yidong AN, Guofeng JIANG. Distinct Water Supply and Consumption Characteristics in Leaves between Nymphaeaceae and Terrestrial Herbs[J]. Bulletin of Botanical Research, 2025, 45(5): 675-685.
表1
研究物种
序号 No. | 物种名 Name | 科 Family | 属 Genus | 生长型 Growth form |
---|---|---|---|---|
1 | 鬼针草Bidens pilosa | 菊科Compositae | 鬼针草属Bidens | 陆生草本Terrestrial herb |
2 | 蓝花草Ruellia simplex | 爵床科Acanthaceae | 芦莉草属Ruellia | 陆生草本Terrestrial herb |
3 | 水鬼蕉Hymenocallis littoralis | 石蒜科Amaryllidaceae | 水鬼蕉属Hymenocallis | 陆生草本Terrestrial herb |
4 | 韭莲Zephyranthes carinata | 石蒜科Amaryllidaceae | 葱莲属 Zephyranthes | 陆生草本Terrestrial herb |
5 | 葱莲Zephyranthes candida | 石蒜科Amaryllidaceae | 葱莲属 Zephyranthes | 陆生草本Terrestrial herb |
6 | 红掌Anthurium andraeanum | 天南星科Araceae | 花烛属Anthurium | 陆生草本Terrestrial herb |
7 | 睡莲Nymphaea tetragona | 睡莲科Nymphaeaceae | 睡莲属Nymphaea | 水生草本Aquatic herb |
8 | 喀麦隆睡莲Nymphaea zenkeri | 睡莲科Nymphaeaceae | 睡莲属Nymphaea | 水生草本Aquatic herb |
9 | 齿叶睡莲Nymphaea lotus | 睡莲科Nymphaeaceae | 睡莲属Nymphaea | 水生草本Aquatic herb |
10 | 蓝睡莲Nymphaea nouchali var. caerulea | 睡莲科Nymphaeaceae | 睡莲属Nymphaea | 水生草本Aquatic herb |
11 | 印度红睡莲Nymphaea rubra | 睡莲科Nymphaeaceae | 睡莲属Nymphaea | 水生草本Aquatic herb |
12 | 变色睡莲Nymphaea atrans | 睡莲科Nymphaeaceae | 睡莲属Nymphaea | 水生草本Aquatic herb |
13 | 萍蓬草Nuphar pumila | 睡莲科Nymphaeaceae | 萍蓬草属Nuphar | 水生草本Aquatic herb |
表2
睡莲科植物、陆生草本植物花和叶解剖指标均值
器官 Organ | 植物类群 Plant group | 气孔大小 Stomatal size/μm2 | 表皮细胞大小 Epidermal cell size/μm2 | 气孔密度 Stomatal density/ (No. mm-2) | 表皮细胞密度 Epidermal cell density/(No. mm-2) | 气孔指数 Stomatal index | 脉密度 Vein density/ (mm∙mm-2) |
---|---|---|---|---|---|---|---|
花 Flower | 陆生草本植物 Terrestrial plants | 864.12±124.02Aa | 2 003.17±335.16Aa | 26.65±6.42Ab | 528.40±102.49Aa | 5.09±1.09Ab | 1.91±0.25Ab |
睡莲科植物 Nymphaeaceae | 618.88±71.94Aa | 1 125.06±170.51Ba | 27.89±15.15Ab | 965.03±189.23Ab | 2.51±0.70Ab | 1.99±0.16Aa | |
叶 Leaf | 陆生草本植物 Terrestrial plants | 1 088.04±243.97Aa | 3 779.24±1 039.91Aa | 244.85±91.55Ba | 221.02±76.53Bb | 41.93±10.46Aa | 5.45±1.39Aa |
睡莲科植物 Nymphaeaceae | 292.90±11.35Bb | 276.74±36.01Bb | 529.22±41.66Aa | 3 032.91±293.07Aa | 15.24±1.18Ba | 1.15±0.07Bb |
[1] | SACK L, HOLBROOK N M.Leaf hydraulics[J].Annual Review of Plant Biology,2006,57:361-381. |
[2] | 龚容,高琼.叶片结构的水力学特性对植物生理功能影响的研究进展[J].植物生态学报,2015,39(3):300-308. |
GONG R, GAO Q.Research progress in the effects of leaf hydraulic characteristics on plant physiological functions[J].Chinese Journal of Plant Ecology,2015,39(3):300-308. | |
[3] | SACK L, SCOFFONI C.Leaf venation:structure,function,development,evolution,ecology and applications in the past,present and future[J].New Phytologist,2013,198(4):983-1000. |
[4] | GINDEL I.Stomatal number and size as related to soil moisture in tree xerophytes in Israel[J].Ecology,1969,50(2):263-267. |
[5] | CLIFFORD S C, BLACK C R, ROBERTS J A,et al.The effect of elevated atmospheric CO2 and drought on stomatal frequency in groundnut (Arachis hypogaea L.)[J].Journal of Experimental Botany,1995,46(7):847-852. |
[6] | SALISBURY E J.On the causes and ecological significance of stomatal frequency,with special reference to the woodland flora[J].Philosophical Transactions of the Royal Society of London Series B,1928,216:1-65. |
[7] | ZHAO W L, FU P L, LIU G L,et al.Difference between emergent aquatic and terrestrial monocotyledonous herbs in relation to the coordination of leaf stomata with vein traits[J].AoB Plants,2020,12(5):plaa047. |
[8] | CARINS MURPHY M R, JORDAN G J, BRODRIBB T J.Acclimation to humidity modifies the link between leaf size and the density of veins and stomata[J].Plant,Cell & Environment,2014,37(1):124-131. |
[9] | CARINS MURPHY M R, JORDAN G J, BRODRIBB T J.Cell expansion not cell differentiation predominantly co-ordinates veins and stomata within and among herbs and woody angiosperms grown under sun and shade[J].Annals of Botany,2016,118(6):1127-1138. |
[10] | CARINS MURPHY M R, JORDAN G J, BRODRIBB T J.Ferns are less dependent on passive dilution by cell expansion to coordinate leaf vein and stomatal spacing than angiosperms[J].PLoS One,2017,12(9):e0185648. |
[11] | CARINS MURPHY M R, JORDAN G J, BRODRIBB T J.Differential leaf expansion can enable hydraulic acclimation to sun and shade[J].Plant,Cell & Environment,2012,35(8):1407-1418. |
[12] | BRODRIBB T J, JORDAN G J, CARPENTER R J.Unified changes in cell size permit coordinated leaf evolution[J].New Phytologist,2013,199(2):559-570. |
[13] | SCHNEIDER J V, HABERSETZER J, RABENSTEIN R,et al.Water supply and demand remain coordinated during breakdown of the global scaling relationship between leaf size and major vein density[J].New Phytologist,2017,214(1):473-486. |
[14] | BLONDER B, SALINAS N, PATRICK BENTLEY L,et al.Predicting trait-environment relationships for venation networks along an Andes-Amazon elevation gradient[J].Ecology,2017,98(5):1239-1255. |
[15] | ZHAO W L, CHEN Y J, BRODRIBB T J,et al.Weak co-ordination between vein and stomatal densities in 105 angiosperm tree species along altitudinal gradients in southwest China[J].Functional Plant Biology,2016,43(12):1126-1133. |
[16] | 张亚,杨石建,孙梅,等.基部被子植物气孔性状与叶脉密度的关联进化[J].植物科学学报,2014,32(4):320-328. |
ZHANG Y, YANG S J, SUN M,et al.Stomatal traits are evolutionarily associated with vein density in basal angiosperms[J].Plant Science Journal,2014,32(4):320-328. | |
[17] | HOVENDEN M J, VANDER SCHOOR J K, OSANAI Y.Relative humidity has dramatic impacts on leaf morphology but little effect on stomatal index or density in Nothofagus cunninghamii(Nothofagaceae)[J].Australian Journal of Botany,2012,60(8):700-706. |
[18] | RODDY A B, DAWSON T E.Determining the water dynamics of flowering using miniature sap flow sensors[J].Acta Horticulturae,2011,951:47-53. |
[19] | RODDY A B, BRODERSEN C R, DAWSON T E.Hydraulic conductance and the maintenance of water balance in flowers[J].Plant,Cell & Environment,2016,39(10):2123-2132. |
[20] | ZHANG F P, CARINS MURPHY M R, CARDOSO A A,et al.Similar geometric rules govern the distribution of veins and stomata in petals,sepals and leaves[J].New Phytologist,2018,219(4):1224-1234. |
[21] | RODDY A B, GUILLIAMS C M, LILITTHAM T,et al.Uncorrelated evolution of leaf and petal venation patterns across the angiosperm phylogeny[J].Journal of Experimental Botany,2013,64(13):4081-4088. |
[22] | KE Y, ZHANG F P, ZHANG Y B,et al.Convergent relationships between flower economics and hydraulic traits across aquatic and terrestrial herbaceous plants[J].Plant Diversity,2023,45(5):601-610. |
[23] | DE LA BARRERA E, NOBEL P S.Nectar:properties,floral aspects,and speculations on origin[J].Trends in Plant Science,2004,9(2):65-69. |
[24] | 武晓倩,何旭,高境烩,等.转PsnNAC007高耐旱性小黑杨种质创制及其特性分析[J].植物研究,2024,44(3):349-360. |
WU X Q, HE X, GAO J H,et al.Germplasm innovation and characteristic analysis of transgenic PsnNAC007 Populus simonii×P.nigra with high drought tolerance[J].Bulletin of Botanical Research,2024,44(3):349-360. | |
[25] | GISLERØD H R, MORTENSEN L M.Relative humidity and nutrient concentration affect nutrient uptake and growth of Begonia×hiemalis [J].HortScience,1990,25(5):524-526. |
[26] | 孙媛媛,杨添琪,艾星梅,等.热带睡莲展叶前后叶片形态结构差异与叶脐胎芽发育的关系[J].植物研究,2024,44(4):528-539. |
SUN Y Y, YANG T Q, AI X M,et al.Relationship between the differences in leaves morphology and structure and epiphyllous bud development of tropical water lily before and after leaf expansion[J].Bulletin of Botanical Research,2024,44(4):528-539. | |
[27] | 周庆源.睡莲科的花的生物学和生殖形态学研究[D].北京:中国科学院植物研究所,2005. |
ZHOU Q Y.Floral biology and reproductive morphology of the Nymphaeaceae[D].Beijing:Institute of Botany,Chinese Academy of Sciences,2005. | |
[28] | 胡光万,刘克明,雷立公.睡莲科三属植物叶的比较解剖学研究[J].生命科学研究,2003,7(3):243-248. |
HU G W, LIU K M, LEI L G.Comparative study on leaf anatomy of three genera in Nymphaeaceae[J].Life Science Research,2003,7(3):243-248. | |
[29] | 刁英,胡蓉,游永宁,等.莲属植物叶片及花瓣的比较解剖学研究[J].湖北农业科学,2013,52(13):3059-3061. |
DIAO Y, HU R, YOU Y N,et al.Comparative anatomy studies on leaves and petals of Nelumbo [J].Hubei Agricultural Sciences,2013,52(13):3059-3061. | |
[30] | 许梅芝.睡莲气孔细胞结构进化的分子机制[D].福州:福建农林大学,2018. |
XU M Z.The molecular basis of the evolution of stomatal complex in Nymphaea colorata [D].Fuzhou:Fujian Agriculture and Forestry University,2018. | |
[31] | FRANKS P J, FARQUHAR G D.The effect of exogenous abscisic acid on stomatal development,stomatal mechanics,and leaf gas exchange in Tradescantia virginiana [J].Plant Physiology,2001,125(2):935-942. |
[32] | FRANKS P J, DRAKE P L, BEERLING D J.Plasticity in maximum stomatal conductance constrained by negative correlation between stomatal size and density:an analysis using Eucalyptus globulus [J].Plant,Cell & Environment,2009,32(12):1737-1748. |
[33] | DE BOER H J, DRAKE P L, WENDT E,et al.Apparent overinvestment in leaf venation relaxes leaf morphological constraints on photosynthesis in arid habitats[J].Plant Physiology,2016,172(4):2286-2299. |
[34] | BRODRIBB T J, FEILD T S.Leaf hydraulic evolution led a surge in leaf photosynthetic capacity during early angiosperm diversification[J].Ecology Letters,2010,13(2):175-183. |
[35] | 周勇,操粮骏,何泽娟,等.超低温对咖啡豆中非挥发性风味品质及超微结构的影响[J].食品科学技术学报,2025,43(3):89-101. |
ZHOU Y, CAO L J, HE Z J,et al.Effect of ultra-low temperature on non-volatile flavor quality and ultrastructure of coffee beans[J].Journal of Food Science and Technology,2025,43(3):89-101. | |
[36] | THÉROUX-RANCOURT G, RODDY A B, EARLES J M,et al.Maximum CO2 diffusion inside leaves is limited by the scaling of cell size and genome size[J].Proceedings of the Royal Society B,2021,288(1945):20203145. |
[37] | KÖRNER C.Leaf diffusive conductances in the major vegetation types of the globe[M]//SCHULZE E D,CAL-DWELL M M.Ecophysiology of Photosynthesis.Berlin:Springer,1995:463-490. |
[38] | TERASHIMA I, MIYAZAWA S I, HANBA Y T.Why are sun leaves thicker than shade leaves? — consideration based on analyses of CO2 diffusion in the leaf[J].Journal of Plant Research,2001,114(1):93-105. |
[39] | SACK L, DIETRICH E M, STREETER C M,et al.Leaf palmate venation and vascular redundancy confer tolerance of hydraulic disruption[J].Proceedings of the National Academy of Sciences of the United States of America,2008,105(5):1567-1572. |
[40] | RAVEN J A.Selection pressures on stomatal evolution[J].New Phytologist,2002,153(3):371-386. |
[41] | JAVELLE M, VERNOUD V, ROGOWSKY P M,et al.Epidermis:the formation and functions of a fundamental plant tissue[J].New Phytologist,2011,189(1):17-39. |
[42] | TORII K U.Stomatal development in the context of epidermal tissues[J].Annals of Botany,2021,128(2):137-148. |
[43] | NOBEL P S.Biophysical plant physiology and ecology[M].San Francisco:W.H.Freeman & Company,1983. |
[44] | GALEN C.It never rains but then it pours:the diverse effects of water on flower integrity and function[J].Reproductive Allocation in Plants,2005:77-95. |
[45] | FEILD T S, CHATELET D S, BRODRIBB T J.Ancestral xerophobia:a hypothesis on the whole plant ecophysiology of early angiosperms[J].Geobiology,2009,7(2):237-264. |
[46] | JIANG G F, LI S Y, DINNAGE R,et al.Diverse mangroves deviate from other angiosperms in their genome size,leaf cell size and cell packing density relationships[J].Annals of Botany,2023,131(2):347-360. |
[47] | KAUL R B.Anatomical observations on floating leaves[J].Aquatic Botany,1976,2:215-234. |
[48] | DING L, CHAUMONT F.Are aquaporins expressed in stomatal complexes promising targets to enhance stomatal dynamics?[J].Frontiers in Plant Science,2020,11:458. |
[49] | BUCKLEY T N.The contributions of apoplastic,symplastic and gas phase pathways for water transport outside the bundle sheath in leaves[J].Plant,Cell & Environment,2015,38(1):7-22. |
[50] | CATIAN G, SCREMIN-DIAS E.Phenotypic variations in leaf anatomy of Nymphaea gardneriana(Nymphaeaceae) demonstrate its adaptive plasticity[J].Journal of the Torrey Botanical Society,2015,142(1):18-26. |
[51] | KORDYUM E, MOSYAKIN S, IVANENKO G,et al.Hydropotes of young and mature leaves in Nuphar lutea and Nymphaea alba (Nymphaeaceae):formation,functions and phylogeny[J].Aquatic Botany,2021,169:103342. |
[52] | DOS SANTOS TOZIN L R, RODRIGUES T M.Revisiting hydropotes of Nymphaeaceae:ultrastructural features associated with glandular functions[J].Acta Botanica Brasilica,2020,34(1):31-39. |
[53] | BOYCE C K, BRODRIBB T J, FEILD T S,et al.Angiosperm leaf vein evolution was physiologically and environmentally transformative[J].Proceedings of the Royal Society B,2009,276(1663):1771-1776. |
[1] | 刘上, 王锦华, 哈斯, 刘畅. 组成型过表达PagPYL4基因对84K杨耐旱性与生长的影响[J]. 植物研究, 2025, 45(5): 722-730. |
[2] | 童宝洁, 淡冬莹, 李佳蔚. 植物叶片高温耐受能力及调节策略研究进展[J]. 植物研究, 2025, 45(2): 171-180. |
[3] | 李鸿博, 陈诗, 黄耀华, 康定旭, 伍建榕, 马焕成. 横断山脉亚高山带高山栎叶片生态化学计量及内稳性特征[J]. 植物研究, 2023, 43(6): 923-931. |
[4] | 郝雪峰, 亢春霞, 裴雁曦, 金竹萍. 苜蓿体内H2S信号与Ca2+调节气孔运动的作用机制[J]. 植物研究, 2023, 43(2): 281-287. |
[5] | 李俊, 段雅萍, 蔡秀珍, 王婷, 潘柏含. 松属针叶角质层微形态特征在分类学中的应用[J]. 植物研究, 2022, 42(3): 341-351. |
[6] | 魏斌, 李毅, 苏世平. 外源脯氨酸对自然干旱下白刺叶片气孔的影响[J]. 植物研究, 2022, 42(3): 492-501. |
[7] | 何凤, 杜红岩, 刘攀峰, 王璐, 庆军, 杜兰英. 干旱胁迫对杜仲叶片结构特征的影响[J]. 植物研究, 2021, 41(6): 947-956. |
[8] | 王孟珂, 田梦妮, 毕泉鑫, 刘肖娟, 于海燕, 王利兵. 基于气孔性状的文冠果种质资源抗旱性评价及抗旱资源筛选[J]. 植物研究, 2021, 41(6): 957-964. |
[9] | 张东, 刘艳, 张晗, 张子健, 王洋, 刘美岑. 甘草叶片形态结构和光合作用对干旱胁迫的响应[J]. 植物研究, 2021, 41(3): 449-457. |
[10] | 王芳, 陆志民, 王君, 张世凯, 李峪曦, 李绍臣, 张建秋, 杨雨春. 低温胁迫下红松与西伯利亚红松光合与气孔特性[J]. 植物研究, 2021, 41(2): 205-212. |
[11] | 赵祥, 苏雪, 吴海燕, 张辉, 孙坤. 突脉金丝桃的花器官发生及其系统学意义[J]. 植物研究, 2020, 40(6): 813-819. |
[12] | 乔滨杰, 王德秋, 高海燕, 李召珉, 葛丽丽, 丁文雅, 赵曦阳. 干旱胁迫下杨树无性系苗期光合与气孔形态变异研究[J]. 植物研究, 2020, 40(2): 177-188. |
[13] | 唐楠, 李苗苗, 唐道城. 青藏高原不同海拔高度下全缘叶绿绒蒿叶表皮特征研究[J]. 植物研究, 2019, 39(2): 161-168. |
[14] | 向运蓉, 张芳, 段静, 黄慧敏, 何丹妮, 刘媛, 陶建平. 异质性水分环境中克隆整合对活血丹生物量分配及叶片结构特征的影响[J]. 植物研究, 2019, 39(2): 200-207. |
[15] | 冮慧欣, 王嘉琪, 黄春岩, 王秀伟. 8种绿化树种光合特性及叶片解剖结构比较[J]. 植物研究, 2019, 39(1): 10-16. |
阅读次数 | ||||||
全文 |
|
|||||
摘要 |
|
|||||