植物研究 ›› 2025, Vol. 45 ›› Issue (5): 707-721.doi: 10.7525/j.issn.1673-5102.2025.05.006
龙姿羽1, 王志成1, 赵蕊1, 刘冰1, 陈功锡1,2()
收稿日期:
2024-12-09
出版日期:
2025-09-20
发布日期:
2025-09-28
通讯作者:
陈功锡
E-mail:chengongxi2011@163.com
作者简介:
龙姿羽(1999—),女,硕士研究生,主要从事植物生态学研究。
基金资助:
Ziyu LONG1, Zhicheng WANG1, Rui ZHAO1, Bing LIU1, Gongxi CHEN1,2()
Received:
2024-12-09
Online:
2025-09-20
Published:
2025-09-28
Contact:
Gongxi CHEN
E-mail:chengongxi2011@163.com
摘要:
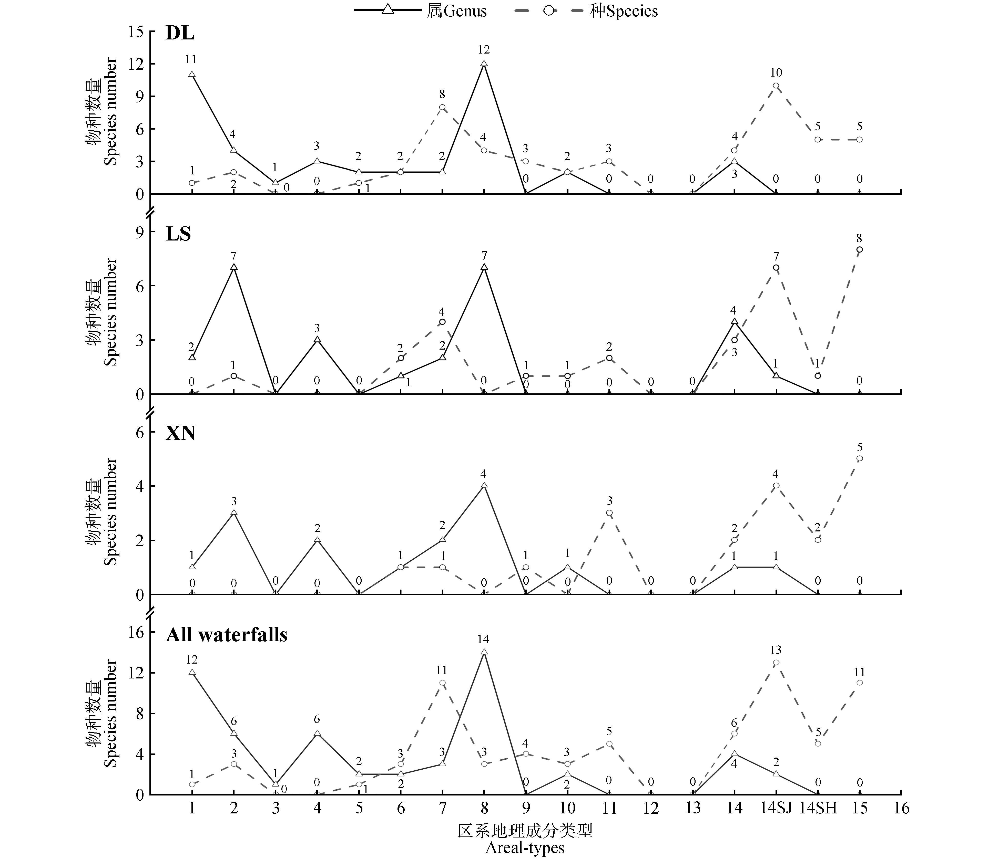
为探究德夯地质公园瀑布生境草本群落物种组成、区系地理成分及多样性特征与变化规律,选取重要值、区系地理成分、物种α和β多样性、营养性状、繁殖性状以及谱系多样性对3个瀑布草本群落进行分析,以期为瀑布生境植物多样性研究提供基础资料。结果表明:德夯地质公园瀑布生境草本植物共35科66属85种,三脉紫菀(Aster ageratoides)、少花马蓝(Strobilanthes oligantha)、冷水花(Pilea notata)、粗齿冷水花(Pilea sinofasciata)为优势种。地理分布区类型符合东亚植物区系特征,其中,大龙洞瀑布生境草本群落热带物种成分相对较多,仙女潭瀑布生境则较少。物种α多样性中大龙洞瀑布生境Shannon-Wiener和Simpson指数较高,但Pielou指数最低;β多样性指数变化一致,在大龙洞瀑布与流纱瀑布生境之间最高,流纱瀑布和仙女潭瀑布生境之间最低。生活习性以多年生草本为主,叶多为中型、单叶、纸质、不裂、锯齿。叶序和叶毛被存在差别;繁殖性状以两性花、顶生和腋生、干果、种子风力传播为主,花期集中在5—8月,果期集中在8—10月,花序类型存在差异。草本群落呈现聚集状态,环境过滤作用是影响群落构建的主要因素。德夯瀑布生境草本群落植物多样性特征与其他群落相比具有独特性。
中图分类号:
龙姿羽, 王志成, 赵蕊, 刘冰, 陈功锡. 德夯地质公园岩溶河谷源头瀑布草本群落植物多样性[J]. 植物研究, 2025, 45(5): 707-721.
Ziyu LONG, Zhicheng WANG, Rui ZHAO, Bing LIU, Gongxi CHEN. Herbaceous Plant Diversity in the Karst River Valley Headwater Waterfalls of Dehang Geopark[J]. Bulletin of Botanical Research, 2025, 45(5): 707-721.
表1
不同瀑布生境草本植物的重要值(前10位)
样地类型 Sample plot type | 编号 Number | 种名 Species name | 相对频度 Relative frequency/% | 相对盖度 Relative cover/% | 相对高度 Relative height/% | 重要值 Importance value/% |
---|---|---|---|---|---|---|
大龙洞瀑布生境 DL | 1 | 三脉紫菀Aster ageratoides | 12.31 | 13.74 | 7.85 | 11.30 |
2 | 白苞蒿Artemisia lactiflora | 5.96 | 12.30 | 10.47 | 9.58 | |
3 | 小赤麻Boehmeria spicata | 5.72 | 9.51 | 9.44 | 8.23 | |
4 | 粗齿冷水花Pilea sinofasciata | 5.02 | 7.96 | 10.07 | 7.69 | |
5 | 鸭儿芹Cryptotaenia japonica | 7.22 | 4.55 | 6.89 | 6.22 | |
6 | 五月艾Artemisia indica | 4.43 | 4.23 | 5.78 | 4.81 | |
7 | 多花筋骨草Ajuga multiflora | 2.06 | 4.09 | 6.07 | 4.07 | |
8 | 凹叶景天Sedum emarginatum | 8.89 | 2.08 | 0.81 | 3.92 | |
9 | 翠云草Selaginella uncinata | 5.02 | 4.79 | 0.66 | 3.49 | |
10 | 细风轮菜Clinopodium gracile | 5.92 | 1.62 | 0.61 | 2.72 | |
流纱瀑布生境 LS | 1 | 少花马蓝Strobilanthes oliganthus | 15.53 | 27.29 | 10.39 | 17.74 |
2 | 冷水花Pilea notata | 17.03 | 20.18 | 10.89 | 16.03 | |
3 | 红马蹄草Hydrocotyle nepalensis | 9.44 | 5.07 | 3.15 | 5.89 | |
4 | 透茎冷水花Pilea pumila | 5.91 | 7.16 | 3.47 | 5.51 | |
5 | 水芹Oenanthe javanica | 3.77 | 2.04 | 10.38 | 5.39 | |
6 | 金疮小草Ajuga decumbens | 4.81 | 3.14 | 6.10 | 4.68 | |
7 | 吉首蒲儿根Sinosenecio jishouensis | 4.58 | 4.44 | 3.51 | 4.18 | |
8 | 疏头过路黄Lysimachia pseudohenryi | 4.92 | 3.82 | 3.24 | 3.99 | |
9 | 小赤麻Boehmeria spicata | 2.43 | 3.50 | 5.84 | 3.92 | |
10 | 披针新月蕨Pronephrium penangianum | 3.01 | 3.50 | 4.66 | 3.73 | |
仙女潭瀑布生境 XN | 1 | 粗齿冷水花Pilea sinofasciata | 31.34 | 25.59 | 17.09 | 24.67 |
2 | 五柱绞股蓝Gynostemma pentagynum | 3.15 | 7.05 | 25.87 | 12.03 | |
3 | 凹叶景天Sedum emarginatum | 21.48 | 5.81 | 1.87 | 9.72 | |
4 | 球花马蓝Strobilanthes dimorphotricha | 2.82 | 15.54 | 8.77 | 9.04 | |
5 | 少花马蓝Strobilanthes oliganthus | 11.44 | 11.36 | 3.44 | 8.75 | |
6 | 小赤麻Boehmeria spicata | 4.39 | 7.18 | 13.11 | 8.23 | |
7 | 假粗毛鳞盖蕨Microlepia pseudostrigosa | 6.14 | 8.36 | 5.74 | 6.75 | |
8 | 金钱蒲Acorus gramineus | 6.63 | 5.74 | 4.70 | 5.69 | |
9 | 紫苞爵床Justicia latiflora | 0.91 | 4.74 | 2.79 | 2.82 | |
10 | 铁角蕨Asplenium aitchisonii | 2.07 | 0.75 | 1.51 | 1.45 |
[1] | 曹晓栋,杨波,黄梅,等.贵州省宽阔水国家级自然保护区草本植物区系及物种多样性研究[J].西北植物学报,2021,41(9):1559-1569. |
CAO X D, YANG B, HUANG M,et al.Flora and species diversity of herbaceous plants in Kuankuoshui National Nature Reserve of Guizhou[J].Acta Botanica Boreali-Occidentalia Sinica,2021,49(9):1559-1569. | |
[2] | 张文丽,夏会娟,张远,等.东辽河河岸带草本植物物种多样性及群落数量分析[J].生态学杂志,2014,33(5):1142-1149. |
ZHANG W L, XIA H J, ZHANG Y,et al.Herbaceous species diversity and community quantitative analysis in the riparian zone of East Liaohe River[J].Chinese Journal of Ecology,2014,33(5):1142-1149. | |
[3] | 于涛,朱丽,魏岩,等.北京东灵山暖温带落叶阔叶林下草本物种多样性及其动态[J].生态学杂志,2024,43(4):1036-1046. |
YU T, ZHU L, WEI Y,et al.Herbaceous plant diversity and its dynamic changes under a warm temperate deciduous broad-leaved forest in Donglingshan,Beijing[J].Chinese Journal of Ecology,2024,43(4):1036-1046. | |
[4] | 蔡艳,吕光辉,何学敏,等.不同利用方式下草地生态系统的多功能性与物种多样性[J].干旱地区农业研究,2019,37(5):200-210. |
CAI Y, LÜ G H, HE X M,et al.Study on the multifunctionality and species diversity of grassland ecosystem under different land-uses[J].Agricultural Research in the Arid Areas,2019,37(5):200-210. | |
[5] | PATIÑO J, HYLANDER K, GONZÁLEZ-MANCEBO J M.Effect of forest clear-cutting on subtropical bryophyte communities in waterfalls,on dripping walls,and along streams[J].Ecological Applications,2010,20(6):1648-1663. |
[6] | PRINTARAKUL N, MEEINKUIRT W.The bryophyte community as bioindicator of heavy metals in a waterfall outflow[J].Scientific Reports,2022,12(1):6942. |
[7] | 王智慧,张朝晖,李建华.琵琶潭瀑布岩溶沉积物生物多样性研究[J].中国岩溶,2007,26(2):178-182. |
WANG Z H, ZHANG Z H, LI J H.Biodiversity on karst deposits at Pipatan waterfall[J].Carsologica Sinica,2007,26(2):178-182. | |
[8] | MAGOTA K, SAKAGUCHI S, HIROTA S K,et al.Comparative analysis of spatial genetic structures in sympatric populations of two riparian plants,Saxifraga acerifolia and Saxifraga fortunei [J].American Journal of Botany,2021,108(4):680-693. |
[9] | PALECEK A M, SCHOENFUSS H L, BLOB R W.Sticking to it:testing passive pull-off forces in waterfall-climbing fishes across challenging substrates[J].Journal of Experimental Biology,2021,224(2):jeb228718. |
[10] | 向晓媚,谭璐,刘冰,等.湖南德夯风景名胜区植物多样性研究与展望[J].吉首大学学报(自然科学版),2020,41(5):45-51. |
XIANG X M, TAN L, LIU B,et al.Researches and prospect on plant diversity of Dehang Scenic Spot in Hunan Province,China[J].Journal of Jishou University(Natural Sciences Edition),2020,41(5):45-51. | |
[11] | 向晓媚,刘冰,谭璐,等.湖南省德夯风景名胜区种子植物区系研究[J].西北植物学报,2022,42(6):1051-1063. |
XIANG X M, LIU B, TAN L,et al.Study on the flora of seed plants in Dehang Scenic Spot,Hunan province[J].Acta Botanica Boreali-Occidentalia Sinica,2022,42(6):1051-1063. | |
[12] | 龙姿羽,王志成,赵蕊,等.湖南德夯地质公园林溪交错带草本群落物种多样性[J].生命科学研究,2024,28(5):409-418. |
LONG Z Y, WANG Z C, ZHAO R,et al.Species diversity of herbaceous communities in the forest-creek ecotone in Hunan Dehang Geopark[J].Life Science Research,2024,28(5):409-418. | |
[13] | 龙姿羽,王志成,赵蕊,等.德夯地质公园林溪交错带草本群落优势种生态位及种间联结[J].西北植物学报,2024,44(12):1954-1964. |
LONG Z Y, WANG Z C, ZHAO R,et al.Niches and community stability of dominant herbaceous species of the forest and creek ecotone in Dehang Geopark[J].Acta Botanica Boreali-Occidentalia Sinica,2024,44(12):1954-1964. | |
[14] | 刘冰.湖南省德夯地质公园峡谷景观与植物多样性[D].吉首:吉首大学,2023:87-88. |
LIU B.Valley landscape and plant diversity in Dehang Geopark of Hunan Province[D].Jishou:Jishou University,2023:87-88. | |
[15] | 徐亮,陈功锡,张洁,等.河谷内外特殊生境对接骨草形态与细胞的影响[J].吉首大学学报(自然科学版),2013,34(2):77-83. |
XU L, CHEN G X, ZHANG J,et al.Influence of habitat inside and outside valley on morphology and cytology of Sambucus Chinensis [J].Journal of Jishou University(Natural Sciences Edition),2013,34(2):77-83. | |
[16] | 张洁,陈功锡,徐亮,等.吉首蒲儿根的繁育系统及克隆构型[J].西北植物学报,2015,35(5):948-956. |
ZHANG J, CHEN G X, XU L,et al.Breeding system and clonal architecture of Sinosenecio jishouensis [J].Acta Botanica Boreali-Occidentalia Sinica,2015,35(5):948-956. | |
[17] | 徐亮,陈功锡,张代贵.湖南德夯河谷特殊生境典型植物群落特征研究[J].生命科学研究,2011,15(4):303-310. |
XU L, CHEN G X, ZHANG D G.Study on characteristics of the representative plant communities in Dehang valley habitat,Hunan Province[J].Life Science Research,2011,15(4):303-310. | |
[18] | 吴征镒,孙航,周浙昆,等.中国种子植物区系地理[M].北京:科学出版社,2010:52-108. |
WU Z Y, SUN H, ZHOU Z K,et al.Floristics of seed plants from China[M].Beijing:Science Press,2010:52-108. | |
[19] | 刘冰,向晓媚,谭璐,等.湖南省德夯峡谷生境种子植物功能性状多样性[J].西北植物学报,2022,42(9):1591-1599. |
LIU B, XIANG X M, TAN L,et al.Diversity of functional traits of seed plants in Dehang canyon,Hunan Province[J].Acta Botanica Boreali-Occidentalia Sinica,2022,42(9):1591-1599. | |
[20] | 王育松,上官铁梁.关于重要值计算方法的若干问题[J].山西大学学报(自然科学版),2010,33(2):312-316. |
WANG Y S, SHANGGUAN T L.Discussion on calculating method of important values[J].Journal of Shanxi University(Natural Science Edition),2010,33(2):312-316. | |
[21] | 马克平,刘玉明.生物群落多样性的测度方法Ⅰ:α多样性的测度方法(下)[J].生物多样性,1994,2(4):231-239. |
MA K P, LIU Y M.Measurement of biotic community diversity Ⅰ:α diversity (Part 2)[J].Chinese Biodiversity,1994,2(4):231-239. | |
[22] | 马克平,刘灿然,刘玉明.生物群落多样性的测度方法Ⅱ:β多样性的测度方法[J].生物多样性,1995,3(1):38-43. |
MA K P, LIU C R, LIU Y M.Measurement of biotic community diversityⅡ:β diversity[J].Chinese Biodiversity,1995,3(1):38-43. | |
[23] | FAITH D P.Conservation evaluation and phylogenetic diversity[J].Biological Conservation,1992,61(1):1-10. |
[24] | WEBB C O, ACKERLY D D, MCPEEK M A,et al.Phylogenies and community ecology[J].Annual Review of Ecology,Evolution,and Systematics,2002,33:475-505. |
[25] | 赵蕊,陈君,王志成,等.湖南德夯地质公园菊科植物多样性特征[J].湖南生态科学学报,2024,11(1):1-10. |
ZHAO R, CHEN J, WANG Z C,et al.Diversity characteristics of Asteraceae plants in Dehang Geopark,Hunan Province[J].Journal of Hunan Ecological Science,2024,11(1):1-10. | |
[26] | 陈功锡,邓涛,张代贵,等.湖南德夯风景区峡谷特殊生境植物区系与生态适应性初探[J].西北植物学报,2009,29(7):1470-1478. |
CHEN G X, DENG T, ZHANG D G,et al.Preliminary study on floristic characteristics and ecological adaptability of vascular plants in the special eco-environment of canyon in Dehang,Hu’nan[J].Acta Botanica Boreali-Occidentalia Sinica,2009,29(7):1470-1478. | |
[27] | 徐亮,陈功锡,张洁,等.河谷梯度对湘西北主要河谷特殊生境种子植物区系的影响[J].西北植物学报,2013,33(4):800-807. |
XU L, CHEN G X, ZHANG J,et al.Effects of valley gradients on the flora of seed plants in the valley of northwestern Hu’nan[J].Acta Botanica Boreali-Occidentalia Sinica,2013,33(4):800-807. | |
[28] | 刘冰,向亮,谭璐,等.湖南省德夯峡谷自然景观类型及其土壤理化性质[J].应用与环境生物学报,2024,30(3):439-448. |
LIU B, XIANG L, TAN L,et al.Natural landscape types and soil physicochemical properties of Dehang valley in Hunan Province,China[J].Chinese Journal of Applied and Environmental Biology,2024,30(3):439-448. | |
[29] | 卢品,金毅,陈建华,等.地理距离和地形差异对两个大型森林动态样地β多样性的影响[J].生物多样性,2013,21(5):554-563. |
LU P, JIN Y, CHEN J H,et al.Influence of geographical distance and topographic difference on β diversity in two large-scale forest dynamics plots[J].Biodiversity Science,2013,21(5):554-563. | |
[30] | 申芳芳,张万里,李德志.植物叶序研究的源流与发展[J].东北林业大学学报,2006,34(5):83-86. |
SHEN F F, ZHANG W L, LI D Z.Origins and development of researches on phyllotaxis[J].Journal of Northeast Forestry University,2006,34(5):83-86. | |
[31] | SEMCHENKO M, ZOBEL K.The role of leaf lobation in elongation responses to shade in the rosette-forming forb Serratula tinctoria (Asteraceae)[J].Annals of Botany,2007,100(1):83-90. |
[32] | 李耀琪,王志恒.植物叶片形态的生态功能、地理分布与成因[J].植物生态学报,2021,45(10):1154-1172. |
LI Y Q, WANG Z H.Leaf morphological traits:ecological function,geographic distribution and drivers[J].Chinese Journal of Plant Ecology,2021,45(10):1154-1172. | |
[33] | GREENWOOD D R.Leaf margin analysis:taphonomic constraints[J].Palaios,2005,20(5):498-505. |
[34] | ROYER D L, KOOYMAN R M, LITTLE S A,et al.Ecology of leaf teeth:a multi-site analysis from an Australian subtropical rainforest[J].American Journal of Botany,2009,96(4):738-750. |
[35] | RENNER S S.The relative and absolute frequencies of angiosperm sexual systems:dioecy,monoecy,gynodioecy,and an updated online database[J].American Journal of Botany,2014,101(10):1588-1596. |
[36] | 邓涛.河谷特殊生境植物多样性特征与生态适应性:以湘西北主要河谷为例[D].吉首:吉首大学,2010:69-72. |
DENG T.Plant diversity characteristics and ecological adaptation to canyon special microhabitat in north western Hunan,China[D].Jishou:Jishou University,2010:69-72. | |
[37] | 李开祥,陈翠萍,贾永鹏,等.甘蓝型油菜有限花序对农艺性状的影响初探[J].西北农业学报,2021,30(5):689-697. |
LI K X, CHEN C P, JIA Y P,et al.Effect of determinate inflorescence on agronomic traits of Brassica napus[J].Acta Agriculturae Boreali-occidentalis Sinica,2021,30(5):689-697. | |
[38] | STEBBINS G L,张凤英.被子植物花序的演化趋势(下)[J].生物学杂志,1988(3):4-11. |
STEBBINS G L, ZHANG F Y.The evolutionary trends of angiosperm inflorescences (Part II)[J].Journal of Biology,1988(3):4-11. | |
[39] | 李敏菲,马煜成,刘耘华,等.新疆草地群落谱系多样性变化特征及影响因素[J].生态学报,2020,40(7):2285-2299. |
LI M F, MA Y C, LIU G H,et al.Pattern and drivers of phylogenetic diversity in Xinjiang grassland[J].Acta Ecologica Sinica,2020,40(7):2285-2299. | |
[40] | CARDILLO M.Phylogenetic structure of mammal assemblages at large geographical scales:linking phylogenetic community ecology with macroecology[J].Philosophical Transactions of the Royal Society B,2011,366(1577):2545-2553. |
[41] | 肖曼.河南黄河湿地植物多样性及其影响因素[D].郑州:河南农业大学,2023:39-40. |
XIAO M.Plant diversity and its influencing factors in wetlands along the Yellow River in Henan Province[D].Zhengzhou:Henan Agricultural University,2023:39-40. | |
[42] | QIAN H, HAO Z Q, ZHANG J.Phylogenetic structure and phylogenetic diversity of angiosperm assemblages in forests along an elevational gradient in Changbaishan,China[J].Journal of Plant Ecology,2014,7(2):154-165. |
[1] | 张喜亭, 张建宇, 仲召亮, 王文杰. 大兴安岭绰纳河保护区植物多样性特征[J]. 植物研究, 2024, 44(5): 730-737. |
[2] | 唐媛媛, 邓福英, 赵筱青, 黄佩, 陶俊逸, 周世杰, 储博程. 桉树引种对林下植物功能群的物种组成及其多样性的影响[J]. 植物研究, 2023, 43(6): 943-952. |
[3] | 庄伟伟, 王明明. 荒漠地区8种草本植物营养元素含量的比较分析[J]. 植物研究, 2022, 42(5): 896-909. |
[4] | 关钥元, 朱思雨, 易照勤, 吴妍, 穆立蔷. 哈尔滨市主要城市绿地特征和耦合关系[J]. 植物研究, 2019, 39(4): 578-589. |
[5] | 夏莹莹, 江泽鹏, 刘凯, 侯立英, 毛子军. 不同经营措施对油茶林下植物多样性影响研究[J]. 植物研究, 2017, 37(6): 887-896. |
[6] | 赵晶, 汪溪远. 古尔班通古特沙漠南缘3种生活型草本植物生物量分配及相关生长关系[J]. 植物研究, 2017, 37(2): 304-311. |
[7] | 庄伟伟, 周晓兵, 张元明. 生物结皮对古尔班通古特沙漠3种荒漠草本植物生长特性与元素吸收的影响[J]. 植物研究, 2017, 37(1): 37-44. |
[8] | 邹莉1;张国权1;萨喜雅尔图2;于洋1;唐庆明3. 凉水原始阔叶红松林与白桦次生林植物多样性的比较研究[J]. 植物研究, 2015, 35(6): 945-951. |
[9] | 李成俊;孙琦;陈璋;庞亮;胡兴;龙凤*. 道路边坡坡度对植被恢复中物种多样性的影响研究[J]. 植物研究, 2013, 33(4): 477-483. |
[10] | 陈明林;刘登义*;崔淑卿;刘雪云. 六股尖自然保护区种子植物多样性研究及其保护对策[J]. , 2007, 27(4): 484-493. |
[11] | 李师翁;薛林贵;冯虎元;徐世键;安黎哲. 陇东黄土高原丘陵沟壑区天然草地植物多样性研究[J]. 植物研究, 2007, 27(2): 238-243. |
[12] | 赵一之. 中药黄芪植物分类及其区系地理分布研究[J]. 植物研究, 2006, 26(5): 532-538. |
[13] | 张彦东, 沈有信, 刘文耀. 金沙江干旱河谷退化草地群落对氮磷施肥的反应[J]. 植物研究, 2004, 24(1): 59-64. |
[14] | 王铁娟, 赵一之. 蒙古高原绣线菊属植物区系地理成分及其生态地理分布规律的研究[J]. 植物研究, 2001, 21(2): 245-251. |
[15] | 张艳华, 聂绍荃, 王志西. 林隙对草本植物的影响[J]. 植物研究, 1999, 19(1): 94-99. |
阅读次数 | ||||||
全文 |
|
|||||
摘要 |
|
|||||