植物研究 ›› 2026, Vol. 46 ›› Issue (2): 246-258.doi: 10.7525/j.issn.1673-5102.2026.02.005
• 研究论文column:Original Paper • 上一篇 下一篇
收稿日期:2025-08-27
出版日期:2026-03-20
发布日期:2026-04-02
通讯作者:
张力鹏
E-mail:zhanglp@tjcu.edu.cn
作者简介:张力鹏(1989—),男,博士,实验师,主要从事药用植物基因分子生物学研究。
Lipeng ZHANG1(
), Mei WU2, Hongpeng WANG2, Tianyu LI2
Received:2025-08-27
Online:2026-03-20
Published:2026-04-02
Contact:
Lipeng ZHANG
E-mail:zhanglp@tjcu.edu.cn
摘要:
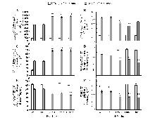
本研究克隆大花红景天(Rhodiola crenulata)转录因子NAC家族成员之一RcNAC22基因,并对其进行生物信息学分析和功能验证。结果表明:RcNAC22基因全长为1 049 bp,含2个内含子、3个外显子,编码293个氨基酸。其蛋白质相对分子质量为33 625.02,属亲水蛋白,性质较稳定,不具有跨膜结构域和信号肽且亚细胞定位于细胞核,含有32个可磷酸化位点。RcNAC22基因包含1个NAM结构域(no apical meristem),第4结构域为转录抑制结构域NARD区,与狭叶红景天(R. kirilowii)亲缘关系最近。RcNAC22基因在6个器官(根、成熟茎、幼茎、叶、顶芽和花)中均有表达但主要存在于绿色器官(茎、叶、顶芽)中,同时受多种非生物胁迫和植物激素脱落酸(ABA)、水杨酸(SA)的诱导表达。RcNAC22蛋白对酵母细胞没有毒性,其全长基因和截短C端均具有自激活活性。此外,以丹参(Salviamiltiorrhiza)为转基因受体研究RcNAC22基因过表达对植物生长的影响,结果显示:提高RcNAC22基因表达量不会影响丹参的生长发育过程,但降低其对盐胁迫的耐受性。本研究揭示了RcNAC22基因的生物学功能,为进一步开展大花红景天分子生物学研究提供理论基础。
中图分类号:
张力鹏, 武美, 王宏鹏, 李天宇. 大花红景天盐胁迫调控基因RcNAC22克隆及功能分析[J]. 植物研究, 2026, 46(2): 246-258.
Lipeng ZHANG, Mei WU, Hongpeng WANG, Tianyu LI. Salt Stress-related RcNAC22 Gene Cloning and Function Analysis in Rhodiolacrenulata[J]. Bulletin of Botanical Research, 2026, 46(2): 246-258.
表1
引物序列信息
引物名称 Primer name | 正向引物(5′→3′) Forward primer (5′→3′) | 反向引物(5′→3′) Reverse primer (5′→3′) |
|---|---|---|
| RcNAC22基因全长扩增 | ATGTCGGCTACGAAGTCC | TCAGAGATTAAGCACGTTGAC |
| 植物表达载体构建 | cctaggATGTCGGCTACGAAGTCC | ggtcaccTCAGAGATTAAGCACGTTGAC |
| 酵母表达载体构建 | gaattcATGTCGGCTACGAAGTCC | ggatccTCAGAGATTAAGCACGTTGAC |
| 基因N端序列酵母载体构建 | gaattcATGTCGGCTACGAAGTCC | ggatccTCGCCGCTCTCTGCTCCAAC |
| 基因C端序列酵母载体构建 | gaattcATGTGGATCACGACGACGAAG | ggatccTCAGAGATTAAGCACGTTGAC |
| 大花红景天内参基因 | TACCCTTCATAGCACCCTCAGA | GAATGGCTTTCCGTGTCCC |
| 丹参内参基因 | GGTGCCCTGAGGTCCTGTT | AGGAACCACCGATCCAGACA |
| [1] | SOUER E, VAN HOUWELINGEN A, KLOOS D,et al.The no apical meristem gene of Petunia is required for pattern formation in embryos and flowers and is expressed at meristem and primordia boundaries[J].Cell,1996,85(2):159-170. |
| [2] | TANG N, WU P Y, CAO Z Y,et al.A NAC transcription factor ZaNAC93 confers floral initiation,fruit development,and prickle formation in Zanthoxylum armatum [J].Plant Physiology and Biochemistry,2023,201:107813. |
| [3] | PEREIRA-SANTANA A, ALCARAZ L D, CASTAÑO E,et al.Comparative genomics of NAC transcriptional factors in angiosperms:implications for the adaptation and diversification of flowering plants[J].PLoS One,2015,10(11):e0141866. |
| [4] | ZAFAR Z, FATIMA S, BHATTI M F.Comprehensive analyses of NAC transcription factor family in almond (Prunus dulcis) and their differential gene expression during fruit development[J].Plants,2021,10(10):2200. |
| [5] | WANG W Q, WANG J, WU Y Y,et al.Genome-wide analysis of coding and non-coding RNA reveals a conserved miR164-NAC regulatory pathway for fruit ripening[J].New Phytologist,2020,225(4):1618-1634. |
| [6] | LIU W J, MEI Z X, YU L,et al.The ABA-induced NAC transcription factor MdNAC1 interacts with a bZIP-type transcription factor to promote anthocyanin synthesis in red-fleshed apples[J].Horticulture Research,2023,10(5):uhad049. |
| [7] | QIN Y X, ZHANG B, WANG Y N,et al.Characterization of SEC14 family in wheat and the function of TaSEC14-7B in salt stress tolerance[J].Plant Physiology and Biochemistry,2023,202:107926. |
| [8] | ZHANG X M, YU H J, SUN C,et al.Genome-wide characterization and expression profiling of the NAC genes under abiotic stresses in Cucumis sativus [J].Plant Physiology and Biochemistry,2017,113:98-109. |
| [9] | CHEN Y H, HUANG Q H, HUA X,et al.A homolog of AtCBFs,SmDREB A1-4,positively regulates salt stress tolerance in Arabidopsis thaliana and Salix matsudana [J].Plant Physiology and Biochemistry,2023,202:107963. |
| [10] | XI Y, LING Q Q, ZHOU Y,et al.ZmNAC074,a maize stress-responsive NAC transcription factor,confers heat stress tolerance in transgenic Arabidopsis [J].Frontiers in Plant Science,2022,13:986628. |
| [11] | SINGH S, KOYAMA H, BHATI K K,et al.Correction to:the biotechnological importance of the plant-specific NAC transcription factor family in crop improvement[J].Journal of Plant Research,2021,134(3):643. |
| [12] | LEE D K, CHUNG P J, JEONG J S,et al.The rice OsNAC6 transcription factor orchestrates multiple molecular mechanisms involving root structural adaptions and nicotianamine biosynthesis for drought tolerance[J].Plant Biotechnology Journal,2017,15(6):754-764. |
| [13] | WANG G D, ZHANG S, MA X C,et al.A stress-associated NAC transcription factor (SlNAC35) from tomato plays a positive role in biotic and abiotic stresses[J].Physiologia Plantarum,2016,158(1):45-64. |
| [14] | LIU H, SONG S B, LIU M Y,et al.Transcription factor ZmNAC20 improves drought resistance by promoting stomatal closure and activating expression of stress-responsive genes in maize[J].International Journal of Molecular Sciences,2023,24(5):4712. |
| [15] | YIN X J, FAN H, CHEN Y,et al.Integrative omic and transgenic analyses reveal the positive effect of ultraviolet-B irradiation on salvianolic acid biosynthesis through upregulation of SmNAC1 [J].The Plant Journal,2020,104(3):781-799. |
| [16] | ZHU B, HUO D A, HONG X X,et al.The Salvia miltiorrhiza NAC transcription factor SmNAC1 enhances zinc content in transgenic Arabidopsis [J].Gene,2019,688:54-61. |
| [17] | SEOK H Y, WOO D H, NGUYEN L V,et al. Arabidopsis AtNAP functions as a negative regulator via repression of AREB1 in salt stress response[J].Planta,2017,245(2):329-341. |
| [18] | SAKURABA Y, KIM Y S, HAN S H,et al.The Arabidopsis transcription factor NAC016 promotes drought stress responses by repressing AREB1 transcription through a trifurcate feed-forward regulatory loop involving NAP[J].The Plant Cell,2015,27(6):1771-1787. |
| [19] | ALBERTOS P, TATEMATSU K, MATEOS I,et al.Redox feedback regulation of ANAC089 signaling alters seed germination and stress response[J].Cell Reports,2021,35(11):109263. |
| [20] | LU P L, CHEN N Z, AN R,et al.A novel drought-inducible gene,ATAF1,encodes a NAC family protein that negatively regulates the expression of stress-responsive genes in Arabidopsis [J].Plant Molecular Biology,2007,63(2):289-305. |
| [21] | WANG Y, CAO S Y, GUAN C J,et al.Overexpressing the NAC transcription factor LpNAC13 from Lilium pumilum in tobacco negatively regulates the drought response and positively regulates the salt response[J].Plant Physiology and Biochemistry,2020,149:96-110. |
| [22] | WANG F T, LIN R M, FENG J,et al.TaNAC1 acts as a negative regulator of stripe rust resistance in wheat,enhances susceptibility to Pseudomonas syringae,and promotes lateral root development in transgenic Arabidopsis thaliana [J].Frontiers in Plant Science,2015,6(1):108. |
| [23] | SUN S F, LI X, NIE N,et al.Sweet potato NAC transcription factor NAC43 negatively regulates plant growth by causing leaf curling and reducing photosynthetic efficiency[J].Frontiers in Plant Science,2023,14:1095977. |
| [24] | 赵为,邓科君,杨足君,等.景天科植物基因组DNA的高效提取方法[J].安徽农业科学,2006,34(22):5804-5805. |
| ZHAO W, DENG K J, YANG Z J,et al.An effective method of DNA extraction from Crassulaceae plant[J].Journal of Anhui Agricultural Sciences,2006,34(22):5804-5805. | |
| [25] | 张力鹏,张银兴,宋文芹,等.红景天属植物叶片RNA高效提取的方法[J].南开大学学报(自然科学版),2017,50(6):48-53. |
| ZHANG L P, ZHANG Y X, SONG W Q,et al.A highly efficient method of RNA extraction from Rhodiola Plant[J].Acta Scientiarum Naturalium Universitatis Nankaiensis,2017,50(6):48-53. | |
| [26] | 王宏鹏,成璐路,滕彦娇,等.西藏大花红景天RcUDPGTs基因克隆与表达分析[J].药学学报,2021,56(7):2015-2024. |
| WANG H P, CHENG L L, TENG Y J,et al.Cloning and expression analysis of RcUDPGTs genes in Tibetan Rhodiola crenulata [J].Acta Pharmaceutica Sinica,2021, 56(7):2015-2024. | |
| [27] | ZHANG L P, WU M, YU D S,et al.Identification of glutathione peroxidase (GPX) gene family in Rhodiola crenulata and gene expression analysis under stress conditions[J].International Journal of Molecular Sciences,2018,19(11):3329. |
| [28] | ZHANG L P, WU M, TENG Y J,et al.Overexpression of the glutathione peroxidase 5 (RcGPX5) gene from Rhodiola crenulata increases drought tolerance in Salvia miltiorrhiza [J].Frontiers in Plant Science,2019,9:1950. |
| [29] | 滕彦娇,王宏鹏,王菁,等.大花红景天内参基因筛选与POD基因表达分析[J].中药材,2021,44(6):1343-1349. |
| TENG Y J, WANG H P, WANG J,et al.Study on the screen of reference genes in Rhodiola crenulata and the analysis of POD gene expression[J].Journal of Chinese Medicinal Materials,2021,44(6):1343-1349. | |
| [30] | 国家药典委员会.中华人民共和国药典:一部[M].北京:中国医药科技出版社,2020:8. |
| Chinese Pharmacopoeia Commission.Pharmacopoeia of the People’s Republic of China:Volume I[M].Beijing:China Medical Science Press,2020:8. | |
| [31] | SUN H, HU M L, LI J Y,et al.Comprehensive analysis of NAC transcription factors uncovers their roles during fiber development and stress response in cotton[J].BMC Plant Biology,2018,18(1):150. |
| [1] | 曹海艳, 田楷文, 贾晓宇, 郝雪峰, 金竹萍. 基于CRISPR/Cas9敲除阐明AtMST1通过H2S合成调控拟南芥耐盐性[J]. 植物研究, 2026, 46(2): 259-269. |
| [2] | 马秀英, 李金克, 周晓阳, 陈少良. Ca2+-ATPase参与植物耐盐性调控的研究进展[J]. 植物研究, 2024, 44(5): 641-654. |
| [3] | 武晓倩, 何旭, 高境烩, 李爽. 转PsnNAC007高耐旱性小黑杨种质创制及其特性分析[J]. 植物研究, 2024, 44(3): 349-360. |
| [4] | 张衡锋, 何阳武, 张焕朝, 韦庆翠. 紫薇响应盐胁迫和碱胁迫的代谢组分析[J]. 植物研究, 2024, 44(3): 420-430. |
| [5] | 方发之, 桂慧颖, 黎肇家, 张晓凤. 6种红树幼苗对不同盐度的生理适应性[J]. 植物研究, 2023, 43(6): 881-889. |
| [6] | 隋德宗, 王保松. 盐胁迫下乌桕无性系叶片的比较蛋白组学研究[J]. 植物研究, 2023, 43(5): 679-689. |
| [7] | 孙宇, 张艺腾, 成慧慧. 紫穗槐WRKY42基因耐盐碱性的功能研究[J]. 植物研究, 2023, 43(4): 612-621. |
| [8] | 张昊楠, 陈珊珊, 徐建民, 罗萍, 王晓萍, 许志茹, 范春节. 巨桉EgrWAT1基因克隆和功能初步分析[J]. 植物研究, 2023, 43(4): 601-611. |
| [9] | 徐磊, 胥晓, 刘沁松. 外源水杨酸对盐胁迫下珙桐幼苗抗氧化系统和基因表达的影响[J]. 植物研究, 2023, 43(4): 572-581. |
| [10] | 刘森尧, 贾丰璘, 国庆, 樊高锋, 周博如, 姜廷波. 小黑杨转录因子PsnbHLH162基因在盐和低温胁迫下应答分析[J]. 植物研究, 2023, 43(2): 300-310. |
| [11] | 廖诗贤, 王宇婷, 董立本, 顾咏梅, 贾丰璘, 姜廷波, 周博如. 小黑杨转录因子PsnbZIP1应答盐胁迫功能分析[J]. 植物研究, 2023, 43(2): 288-299. |
| [12] | 宋海云, 张涛, 贺鹏, 郑树芳, 王立丰, 王文林. 澳洲坚果MibZIP1基因克隆及表达规律分析[J]. 植物研究, 2023, 43(1): 131-139. |
| [13] | 钱婷, 赵凡, 张玉洁, 李雪丽, 孙坤, 张辉. 肋果沙棘和西藏沙棘转录因子bHLH94基因对海拔适应性分化的研究[J]. 植物研究, 2022, 42(6): 976-985. |
| [14] | 岳莉然, 刘颖婕, 刘晨旭, 周蕴薇. 响应盐胁迫调控的露地菊miR398a的克隆及功能研究[J]. 植物研究, 2022, 42(6): 986-996. |
| [15] | 李登高, 林睿, 穆青慧, 周娜, 张焱如, 白薇. 马铃薯StNPR4基因的克隆与功能分析[J]. 植物研究, 2022, 42(5): 821-829. |
| 阅读次数 | ||||||
|
全文 |
|
|||||
|
摘要 |
|
|||||