Please wait a minute...

当期目录

    2026年 第46卷 第2期    刊出日期:2026-03-20
    上一期   
    研究论文column:Original Paper
    PtNF-Ys基因在油松花发育早期的表达与功能分析
    丁文彬, 胡岳涵, 白寅甲, 杨宇寒, 薛华
    2026, 46(2):  195-208.  doi:10.7525/j.issn.1673-5102.2026.02.001
    摘要 ( 4 )   HTML ( 0)   PDF (3448KB) ( 0 )  
    数据和表 | 参考文献 | 相关文章 | 计量指标

    为解析油松(Pinus tabuliformis)种子园童期长、产量低的成因并探索其调控机制,以山西吴城国家油松种子园成年油松为材料,对7—10月中旬的顶端分生组织进行转录组测序,研究花芽发育早期阶段开花相关基因的表达特征,解析核因子Y(NF-Y)家族成员的生物学功能。结果表明:PtNF-YB8等多个NF-Y家族基因在10月中旬表达量显著升高。启动子分析显示,PtNF-YB8基因含有赤霉素(GA)响应、光响应等顺式作用元件;对顶芽进行GA处理后PtNF-YB8基因表达量显著升高。在本氏烟草(Nicotiana benthamiana)细胞中,PtNF-YB8蛋白定位于细胞质和细胞核中,其转基因拟南芥(Arabidopsis thaliana)株系呈现晚花表型。酵母双杂交结果证明,PtNF-YB8蛋白能够与PtNF-YC9和PtNF-YC10蛋白互作。综上,PtNF-YB8蛋白可能与PtNF-YC9/10等NF-Y家族成员结合并进行信号传递,发挥延迟花期的作用。研究结果为进一步解析针叶树开花调控网络及研发种子园丰产稳产技术提供依据。

    兰香草花挥发性成分鉴定及其对访花昆虫行为的影响
    何咏, 乌芷静, 张武凡, 罗毅波, 李睿思, 王秋月, 禹瑞敏, 董树斌, 程瑾
    2026, 46(2):  209-219.  doi:10.7525/j.issn.1673-5102.2026.02.002
    摘要 ( 5 )   HTML ( 0)   PDF (1617KB) ( 0 )  
    数据和表 | 参考文献 | 相关文章 | 计量指标

    为鉴定兰香草(Caryopteris incana)花挥发性成分,并探讨其对访花昆虫行为的影响,该研究采用英国皇家园艺学会标准比色卡(RHSCC)测定兰香草花色,利用吸附-溶剂洗脱法收集花气味,结合气相色谱-质谱联用技术(GC-MS)鉴定花挥发性成分,通过人工观察统计兰香草的昆虫访花频次,并同步检测花粉活力与柱头可授性的动态变化。结果表明:(1)基于RHSCC的兰香草花色测定确定其色号为N88B深紫色。(2)兰香草花挥发性成分以萜类化合物为主,占77.25%,其次是酯类,占13.00%。相对含量最高的右旋-柠檬烯(36.80%)为兰香草主要特征性挥发物。(3)蜂类是兰香草最主要的访花类群,占比91%以上。其中,意大利蜜蜂(Apis melliferaligustica)是兰香草最主要的访花者,访花频次和其他访花昆虫相比存在极显著差异(P<0.001)。(4)兰香草花期约7 d,花粉在花开放后2 d和3 d具活性,柱头在花开放后5 d具可授性,显示出雌雄蕊异熟中雄蕊先熟的特性,有效减少自交传粉的发生。该研究为兰香草传粉生态学的深入研究提供重要参考。

    薰衣草腺毛非特异性脂质转移蛋白nsLTP2介导挥发性有机物的细胞壁转运
    曾玉玲, 张义超, 马晓花, 杨琳, 聂静, 胡健健
    2026, 46(2):  220-230.  doi:10.7525/j.issn.1673-5102.2026.02.003
    摘要 ( 8 )   HTML ( 0)   PDF (4832KB) ( 0 )  
    数据和表 | 参考文献 | 相关文章 | 计量指标

    薰衣草(Lavandula angustifolia)的香味主要来源于其体表密布的腺毛分泌的挥发性有机化合物(volatile organic compounds,VOCs)。疏水性VOCs从合成部位需穿越亲水性细胞壁,转运至腺毛分泌腔储存。然而,薰衣草疏水性VOCs穿越亲水性细胞壁的途径及其潜在机制尚不明确。该研究系统观察并分析了薰衣草花、叶片及萌发种子胚上表皮毛的类型与分布;克隆获得了1个非特异性脂质转移蛋白基因(nsLTP2),并对其进行生物信息学分析、亚细胞定位研究;通过大肠杆菌(Escherichia coli)表达系统纯化nsLTP2蛋白,并利用荧光探针评估其与芳樟醇的结合能力。结果表明:薰衣草除盾状腺毛外,还具有2~3种形态各异的头状腺毛,二者在结构与分布上存在显著差异。nsLTP2基因编码由115个氨基酸组成的蛋白质,该蛋白具有典型的nsLTP蛋白结构域及8个高度保守的半胱氨酸残基。基因表达分析显示,nsLTP2基因主要在花中表达,且在初花期表达量最高。亚细胞定位分析表明,nsLTP2蛋白定位于细胞壁;体外试验进一步证实其具有结合脂质体的活性。综上所述,该研究证实nsLTP2蛋白是薰衣草疏水性VOCs转运途径中的关键组分,可促进VOCs在细胞壁中的运输过程。

    黑果枸杞LrMYB64基因克隆及功能研究
    刘艺蛟, 赵吉庆, 陈金焕
    2026, 46(2):  231-245.  doi:10.7525/j.issn.1673-5102.2026.02.004
    摘要 ( 8 )   HTML ( 0)   PDF (5037KB) ( 0 )  
    数据和表 | 参考文献 | 相关文章 | 计量指标

    黑果枸杞(Lyciumruthenicum)是我国西北地区特色的药食同源植物,果实富含花青素,具有极高的药用价值。为了解析黑果枸杞花青素合成的关键调控因子,该研究以黑果枸杞为材料,结合前期转录组分析克隆出候选基因LrMYB64,构建过表达载体并通过本源转化获得转基因枸杞,结合转录组测序解析其分子调控网络。结果表明:黑果枸杞中LrMYB64基因过表达,显著抑制花青素合成通路的关键结构基因(LrCHS1BLrCHS2LrF3HLrDFRLrANSLrA3GT等)的表达,使植株花青素水平降低约91.75%,显著激活多个激素信号转导相关基因(LrPR4LrPP2C51LrSAUR36LrGH3.6LrARF5LrABF4等)的表达,腋芽萌发数量提高至野生型的 3倍。综上,该研究初步证实LrMYB64基因通过负向调控花青素合成通路和正向调控激素信号转导通路,形成 1个以其为核心的基因调控网络,从而协同调控植物的次生代谢与激素响应过程。

    大花红景天盐胁迫调控基因RcNAC22克隆及功能分析
    张力鹏, 武美, 王宏鹏, 李天宇
    2026, 46(2):  246-258.  doi:10.7525/j.issn.1673-5102.2026.02.005
    摘要 ( 9 )   HTML ( 0)   PDF (7214KB) ( 0 )  
    数据和表 | 参考文献 | 相关文章 | 计量指标

    本研究克隆大花红景天(Rhodiola crenulata)转录因子NAC家族成员之一RcNAC22基因,并对其进行生物信息学分析和功能验证。结果表明:RcNAC22基因全长为1 049 bp,含2个内含子、3个外显子,编码293个氨基酸。其蛋白质相对分子质量为33 625.02,属亲水蛋白,性质较稳定,不具有跨膜结构域和信号肽且亚细胞定位于细胞核,含有32个可磷酸化位点。RcNAC22基因包含1个NAM结构域(no apical meristem),第4结构域为转录抑制结构域NARD区,与狭叶红景天(R. kirilowii)亲缘关系最近。RcNAC22基因在6个器官(根、成熟茎、幼茎、叶、顶芽和花)中均有表达但主要存在于绿色器官(茎、叶、顶芽)中,同时受多种非生物胁迫和植物激素脱落酸(ABA)、水杨酸(SA)的诱导表达。RcNAC22蛋白对酵母细胞没有毒性,其全长基因和截短C端均具有自激活活性。此外,以丹参(Salviamiltiorrhiza)为转基因受体研究RcNAC22基因过表达对植物生长的影响,结果显示:提高RcNAC22基因表达量不会影响丹参的生长发育过程,但降低其对盐胁迫的耐受性。本研究揭示了RcNAC22基因的生物学功能,为进一步开展大花红景天分子生物学研究提供理论基础。

    基于CRISPR/Cas9敲除阐明AtMST1通过H2S合成调控拟南芥耐盐性
    曹海艳, 田楷文, 贾晓宇, 郝雪峰, 金竹萍
    2026, 46(2):  259-269.  doi:10.7525/j.issn.1673-5102.2026.02.006
    摘要 ( 8 )   HTML ( 0)   PDF (4325KB) ( 0 )  
    数据和表 | 参考文献 | 补充材料 | 相关文章 | 计量指标

    硫化氢(hydrogen sulfide,H2S)是植物体内重要的气体信号分子,其生物合成依赖多种内源生成酶。3-巯基丙酮酸硫转移酶(3-mercaptopyruvate sulfurtransferase,MST)在动物系统中已被证实能够生成H2S,而拟南芥(Arabidopsis thaliana)MST1也被报道具有类似的酶活性。为在植物体内进一步验证AtMST1蛋白的H2S生成功能,并探究其在盐胁迫响应中的作用,本研究利用CRISPR/Cas9基因编辑技术对拟南芥AtMST1基因进行定向编辑。通过设计4个靶位点并构建基因编辑载体,经农杆菌(Agrobacterium)转化后,成功获得atmst1纯合突变体。基因型分析表明,突变体在靶位点插入单个T碱基,导致移码突变及蛋白质翻译提前终止。生理检测结果显示,与野生型相比,atmst1突变体的H2S荧光探针信号强度、H2S含量及产率均显著降低。在盐胁迫处理下,atmst1植株表现出明显的盐敏感表型,且幼苗根中积累更多的活性氧。综上,本研究成功构建了AtMST1蛋白功能缺失突变体,从遗传学层面证实AtMST1蛋白在植物内源H2S合成中的关键作用,并揭示其通过调节H2S水平正调控拟南芥耐盐性的生理功能。

    基于黄檗全基因组的苄基异喹啉生物碱生物合成相关O-甲基转移酶基因筛选及功能鉴定
    曹畅, 田亚, 刘成伟
    2026, 46(2):  270-279.  doi:10.7525/j.issn.1673-5102.2026.02.007
    摘要 ( 10 )   HTML ( 0)   PDF (6896KB) ( 0 )  
    数据和表 | 参考文献 | 相关文章 | 计量指标

    黄檗(Phellodendron amurense)是一种传统的药用树种,其富含的苄基异喹啉生物碱(BIA)具有显著的药理活性。O-甲基转移酶(OMT)是植物次生代谢中催化酚羟基甲基化的关键酶类,对苄基异喹啉生物碱结构多样化与稳定性具有重要作用。为系统解析黄檗OMT基因家族特征并挖掘参与BIA合成的关键基因,该研究基于黄檗全基因组数据,系统鉴定82个OMT基因家族成员。系统发育分析表明:所有成员均属于ClassⅠ类群,进一步划分为ClassⅠa和ClassⅠb 2个亚族。保守基序分析显示,2个亚族在保留核心SAM结合域的同时,其N端与C端基序组成存在显著差异。染色体定位分析表明:PaOMT基因呈不均匀分布且存在明显串联复制现象。结合黄檗多组织转录组数据筛选及体外酶活验证发现,PaOMT30能够催化(S)-金黄紫堇碱C-2位羟基的O-甲基化,生成(S)-四氢巴马汀红碱。该研究首次系统解析黄檗OMT基因家族特征,并明确PaOMT30在黄檗BIA合成途径中的C-2位甲基化活性,为阐明黄檗药用成分生物合成网络及BIA药物开发奠定了基础。

    复合诱导子和光质诱导子对箭叶淫羊藿悬浮细胞次生代谢产物的影响
    赵梦瑶, 纪宝玉, 李诺, 韩耀祖, 裴莉昕
    2026, 46(2):  280-293.  doi:10.7525/j.issn.1673-5102.2026.02.008
    摘要 ( 12 )   HTML ( 0)   PDF (3201KB) ( 0 )  
    数据和表 | 参考文献 | 相关文章 | 计量指标

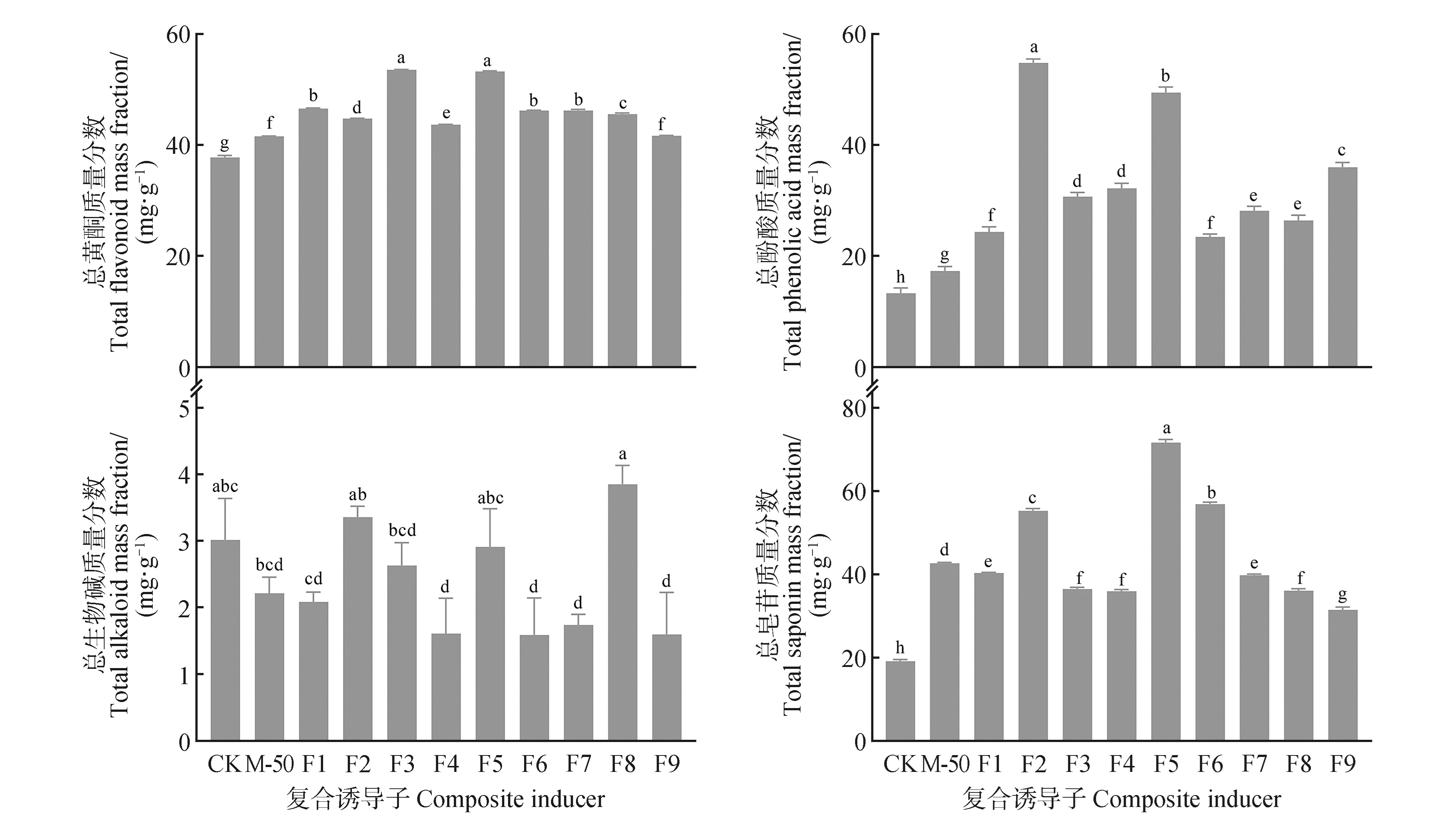
    通过添加不同浓度复合诱导子及不同光周期的光质诱导子,探讨复合诱导子和光质诱导子对箭叶淫羊藿(Epimedium sagittatum)悬浮细胞主要次生代谢产物的影响。该研究在最佳培养条件下,设计正交试验,将25、50、75 μmolL-1茉莉酸甲酯(methyl jasmonate,MeJA),25、50、75 μmolL-1水杨酸(salicylic acid,SA),0、10、20 mgL-1壳聚糖(chitosan,CTS)3种诱导子进行复合诱导,并选取不同光质和光周期进行诱导。结果表明:与对照组相比,经过复合诱导子和光质诱导子处理的箭叶淫羊藿悬浮细胞中,黄酮醇苷、总黄酮、总酚酸及总皂苷等次生代谢产物含量均呈现上升趋势。F4处理组(50 µmolL-1 MeJA、25 µmolL-1 SA、20 mgL-1 CTS)和G6处理组(蓝光,16 h)黄酮醇苷含量显著高于对照组,分别是对照组的2.92倍和3.79倍;F3处理组(25 µmolL-1 MeJA、50 µmolL-1 SA、10 mgL-1 CTS)和G6处理组(蓝光,16 h)总黄酮含量显著高于对照组,分别为对照组的1.42倍和1.27倍;F2处理组(25 µmolL-1 MeJA、25 µmolL-1 SA)和G4处理组(蓝光,12 h)总酚酸含量显著高于对照组,分别为对照组的4.11倍和2.94倍;F8处理组(75 µmolL-1 MeJA、75 µmolL-1 SA)和G2处理组(白光,12 h)总生物碱含量高于对照组,分别是对照组的1.28倍和1.02倍;F5处理组(50 µmolL-1 MeJA、50 µmolL-1 SA)和G6处理组(蓝光,16 h)总皂苷含量显著高于对照组,分别是对照组的3.73倍和3.05倍。因此,添加外源诱导子是提高箭叶淫羊藿次生代谢产物的有效途径,对黄酮类化合物和总皂苷等次生代谢产物的合成与积累具有显著促进作用。

    枯草芽孢杆菌C08可湿性粉剂研制及其对番茄早疫病防治效果
    许韫鑫, 丛煜嫣, 张瑶, 王傲雪
    2026, 46(2):  294-309.  doi:10.7525/j.issn.1673-5102.2026.02.009
    摘要 ( 14 )   HTML ( 0)   PDF (5318KB) ( 0 )  
    数据和表 | 参考文献 | 相关文章 | 计量指标

    番茄(Solanum lycopersicum)早疫病由茄链格孢菌(Alternaria solani)侵染引发,由于其潜育期短且再侵染迅速,已成为影响番茄产量与品质的重要病害之一。相比传统化学防治方法,生物防治具有环境友好和绿色可持续的优势,展现出巨大的发展潜力。本研究从健康番茄根际土壤中筛选出1株对早疫病具有显著拮抗活性的芽孢杆菌(Bacillus)(编号C08),并优化其发酵条件,以发酵产物为基础制备可湿性粉剂。结果表明:该粉剂不仅对番茄早疫病表现出较高的防治效果,还能够显著促进植株生长,提高超氧化物歧化酶(SOD)、过氧化物酶(POD)等抗氧化酶的活性,同时改善土壤中蔗糖酶与脲酶的活性,为番茄早疫病的绿色防控提供潜在的生物防治资源与应用基础。

    新疆短生植物区系和生活史策略分异
    张凯, 杨晓东, 米尔卡米力⋅麦麦提, 张月娟, 艾沙江⋅阿不都沙拉木
    2026, 46(2):  310-323.  doi:10.7525/j.issn.1673-5102.2026.02.010
    摘要 ( 16 )   HTML ( 0)   PDF (754KB) ( 0 )  
    数据和表 | 参考文献 | 相关文章 | 计量指标

    短生植物是由干热植物区系衍生而来、生长在平坦荒漠地带的特殊类群,在我国主要分布于新疆北部地区,而新疆南部总体分布现状尚不清楚,且高山环境中是否存在短生植物当前未知。本研究通过实地调查并结合资料收集,分析新疆北部、南部(含中国境内的帕米尔高原)短生植物的种类组成、地理成分、生活型类型,探讨其起源与生活史策略分化。结果表明:(1)新疆南部短生植物共计18科,42属,51种;中国境内的帕米尔高原有短生植物16科,31属,36种,成为“微避难所”。(2)新疆短生植物寡种科、单种科、寡种属、单种属的比例高,十字花科(Brassicaceae)是优势类群。(3)新疆短生植物以温带成分为主,1年生和多年生生活型比例高,高山环境1年生植物比例上升,凸显了生态保守性对短生植物进化的约束作用。综上,新疆南北短生植物在科属组成、地理成分和生活型谱上高度趋同,中国境内的帕米尔高原是短生植物的“微避难所”,短生植物的生态保守性使其面临较大的进化压力。

    毛乌素沙地三种沙丘类型黑沙蒿的空间点格局
    黄文琪, 张定海, 伊兰
    2026, 46(2):  324-335.  doi:10.7525/j.issn.1673-5102.2026.02.011
    摘要 ( 8 )   HTML ( 0)   PDF (2560KB) ( 0 )  
    数据和表 | 参考文献 | 相关文章 | 计量指标

    为探究不同生长阶段固沙灌木在固定沙丘、半固定沙丘和流动沙丘类型中的空间格局及差异,该研究以毛乌素沙地3种沙丘类型的黑沙蒿(Artemisia ordosica)为研究对象,采用空间点格局分析方法,基于g(r)函数和多种零模型,系统分析3种沙丘类型中黑沙蒿种群2个不同生长阶段个体(成株和幼株)的空间分布、种内关联性及个体相对高差对其分布的影响。结果表明:在剔除生境异质性影响后,3种沙丘类型中黑沙蒿种群的空间分布均表现出一致性特征,在小尺度(0∼5 m)上呈聚集分布,而在大尺度上趋于随机或均匀分布。同时,种群的聚集强度(κ)和聚集分布标准差(σ)随着沙丘固定程度的增加而增大,且对于不同生长阶段的个体而言,成株的σ显著大于幼株。在种内关联性方面,成株与幼株的关系总体表现为无关联状态,仅在半固定沙丘的3∼10 m尺度上呈现显著正关联。此外,黑沙蒿个体相对高差对种群空间分布的影响表现出明显的沙丘类型依赖性:在稳定性较强的固定沙丘上,其影响不显著;在半固定沙丘上,个体相对高差对成株和幼株的空间分布构成强烈制约;在流动沙丘上,个体相对高差的影响主要体现在幼株上,黑沙蒿幼株显著偏好于丘底等个体相对高差较低的区域。研究结果为制定可持续的防风固沙策略提供理论依据。

    旱雨季交替对入侵种拉关木与乡土种白骨壤整株碳氮分配及权衡策略的影响
    杨华, 卢启航, 杜彦君, 王文娜
    2026, 46(2):  336-347.  doi:10.7525/j.issn.1673-5102.2026.02.012
    摘要 ( 4 )   HTML ( 0)   PDF (2653KB) ( 0 )  
    数据和表 | 参考文献 | 相关文章 | 计量指标

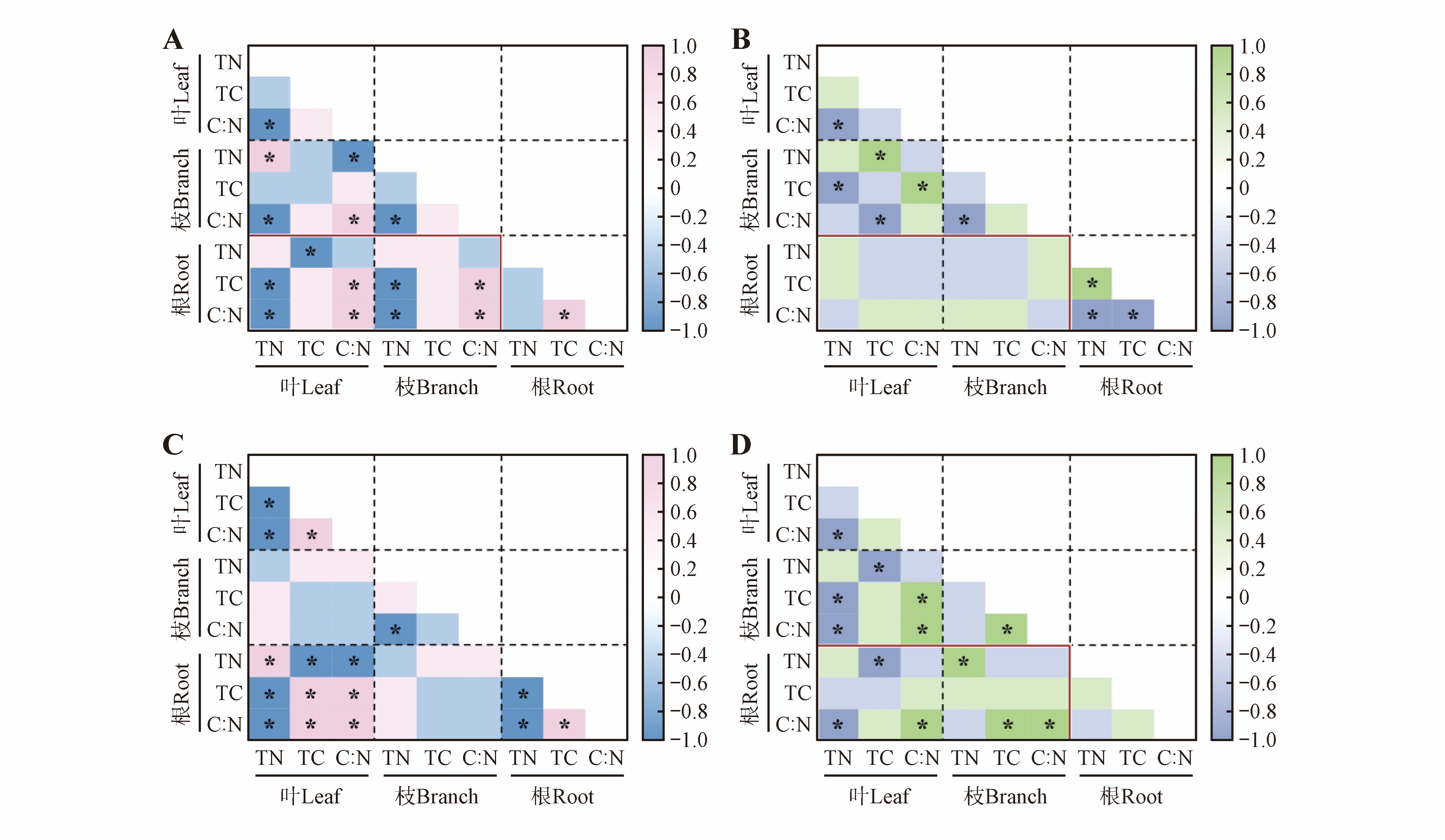
    植物碳(C)、氮(N)化学计量特征反映其资源分配策略,但现有研究常局限于单一器官,忽视了自然生境下整株与土壤系统的协同反馈。这一局限在受入侵威胁的红树林中尤为突出,制约了对种间竞争机制的深入理解。本研究以海南四必湾入侵种拉关木(Laguncularia racemosa)与乡土种白骨壤(Avicennia marina)为对象,探究旱、雨季纯林与混交林中叶、枝、根的C、N含量和C∶N(质量比),以及根际表层(0~10 cm)及亚表层(10~20 cm)土壤理化因子(全C、全N含量、C∶N、含水量、pH及电导率)的季节动态及关联格局。结果表明:相比于拉关木,白骨壤各器官始终维持显著高的N含量和低的C∶N,且其纯林表层土壤N含量在旱季显著高于拉关木纯林,而C∶N显著更低。与雨季相比,旱季显著增强拉关木根与枝间的化学计量关联,且其各器官C、N特征均与各土层理化因子紧密相关;相反,白骨壤仅在雨季表现出全株化学计量关联,而旱季其根与叶及枝间的关联消失,叶和枝化学计量特征转而与亚表层土壤理化因子(含水量、电导率或N含量)密切相关。树种混交在旱季增强白骨壤器官间C、N关联的普遍性,并提高叶片C含量;在雨季则显著提高拉关木叶片N含量并降低C∶N。综上,拉关木以较低的组织构建成本,及其在旱季维持与土壤资源的紧密关联,形成竞争优势。树种混交虽可增强白骨壤的器官间生理关联,却使拉关木更有效地缓解自身养分限制,从而可能扩大其入侵。因此,如果在进行生态修复的红树林群落中存在外来入侵植物,需警惕其通过种间互惠效应误导管理策略的制定,反而加速其扩张的潜在风险。

    红松不同器官非结构性碳水化合物和化学计量特征对疏伐的响应
    温海瑞, 杨雨春, 刘月, 矫春晶, 王君, 王芳, 杨叶磊, 李依桐, 王杰
    2026, 46(2):  348-360.  doi:10.7525/j.issn.1673-5102.2026.02.013
    摘要 ( 7 )   HTML ( 0)   PDF (4999KB) ( 0 )  
    数据和表 | 参考文献 | 相关文章 | 计量指标

    非结构性碳水化合物(non-structural carbohydrates, NSC)与生态化学计量特征共同构成了植物碳-养分平衡的核心,分别调控植物能量储存与养分利用效率,是揭示植物环境适应策略的关键。然而,疏伐条件下不同器官间NSC的分配规律和元素化学计量特征尚不明确。因此,本研究以吉林省上营森林经营局人工红松(Pinus koraiensis)中龄林为研究对象,设置对照(control,CK,0)、轻度(light,LT,10%)、中度(moderate,MT,20%)和重度(heavy,HT,30%)4个疏伐处理,探究叶、枝、干、根器官中NSC、碳(C)、氮(N)、磷(P)含量及其化学计量特征对疏伐的响应。结果表明:疏伐显著提高了各器官NSC含量(P<0.05),且均在MT处理下达到最高值。针叶C含量保持稳定,而N、P含量呈现单峰趋势,在MT处理时较高,分别较CK处理增加17.6%和34.9%,同时C∶N(质量比)和C∶P(质量比)较低。HT处理导致枝、干N、P含量显著下降,分别较CK下降8.9%和26.9%(P<0.05)。根系C含量随疏伐强度增加而上升,HT处理较CK增加11.3%,N、P变化趋势与叶片一致,C∶N、C∶P在HT处理下较CK分别升高23.5%、33.3%。此外,主成分分析(principal component analysis,PCA)结果显示,LT处理中主成分1(principal component 1,PC1)和主成分2(principal component 2,PC2)的累积贡献率为82.6%;MT处理下前2个主成分的累积贡献率为93.8%;HT处理下前2个主成分的累积贡献率为92.2%。在3种疏伐强度下,PC1中可溶性糖、NSC、P的贡献较大,而PC2中C、N和N∶P(质量比)的贡献较大。综上,中度疏伐较为适宜,研究结果为深入理解疏伐对林木NSC和化学计量学的影响提供了重要参考。

    小叶杨优良家系筛选与亲缘谱系重建
    解晓宇, 林芮竹, 张太进, 王瑞雪, 王汉时, 张金旺, 铁龙, 赵春莉, 赵曦阳, 蔡柯伟
    2026, 46(2):  361-377.  doi:10.7525/j.issn.1673-5102.2026.02.014
    摘要 ( 5 )   HTML ( 0)   PDF (1108KB) ( 0 )  
    数据和表 | 参考文献 | 相关文章 | 计量指标

    为选育谱系清晰的林木良种,该研究以20个小叶杨(Populus simonii)半同胞家系为材料,对其生长性状与叶片性状进行调查,并结合EST-SSR分子标记技术开展亲缘谱系重建,同时对重建前后的半同胞及全同胞家系进行评价与选择。结果表明:各调查指标在20个家系间存在极显著差异(P<0.01),且各指标的家系遗传力较高,群体遗传多样性丰富;以5%的入选率初步筛选出Ps14为最优家系,其苗高、地茎分别较总体均值提高55.45%、40.38%,其鲜叶质量、干叶质量、叶长、叶宽、叶柄长、叶面积及叶脉夹角分别较总体均值提高60.20%、39.29%、24.40%、41.66%、1.05%、14.73%和68.69%;利用15对多态性EST-SSR引物对Ps14子代进行父本鉴定,成功鉴定99%的子代,共确定32个有效父本,其中12个父本在自由授粉条件下表现出较高的繁殖贡献;对谱系重建后的全同胞家系进行评价,初步筛选出Ps14×M-PS243为优良家系,其子代在苗高与地径方面较群体均值分别提高76.64%和74.34%;同时,通过一般配合力(general combining ability,GCA)分析,初步筛选出M-PS243为优良父本。综上所述,该研究利用分子标记技术对杨树半同胞家系进行谱系重建与优良家系评价选择,显著提升了选择效率,为杨树及其他树种的遗传改良提供了新思路。

    基于多性状综合评价的杨树优良无性系筛选
    王汉时, 李潇, 庞忠义, 彭彦辉, 王瑞雪, 张太进, 刘洋, 赵曦阳, 赵春莉, 蒋路平
    2026, 46(2):  378-392.  doi:10.7525/j.issn.1673-5102.2026.02.015
    摘要 ( 5 )   HTML ( 0)   PDF (812KB) ( 1 )  
    数据和表 | 参考文献 | 相关文章 | 计量指标

    筛选兼具速生与优质的杨树优良无性系,为东北地区杨树遗传改良提供材料支撑。以从新疆收集的43个杨树无性系为材料,在辽宁省新民市建立试验林,对其生长性状(苗高、地径)、叶片表型性状(叶长、叶宽、叶面积、叶柄长、叶柄直径等)及光合生理性状(净光合速率、蒸腾速率、气孔导度、胞间CO₂摩尔分数、水分利用效率和叶绿素含量等)进行测定分析。结果表明:各性状在杨树无性系间均存在极显著差异(P<0.01);表型变异系数范围为1.41%~37.60%;各性状重复力均大于0.940,表现出较高的遗传稳定性和改良潜力。相关性分析结果表明,地径与叶片表型性状之间呈显著正相关(r,0.505~0.604);与叶绿素含量呈显著正相关(r,0.275~0.328)。基于杨树无性系速生性(生长指标)、生物量积累能力(生长与叶片表型指标)、水分与光资源利用效率(生长、叶面积、水分利用效率)和潜在光合能力(生长、叶面积、净光合速率、光合色素含量)等特征,构建不同评价体系,最终筛选出107杨、金叶杨、中林107、中林46、美洲黑杨、64#共6个无性系在4种评价体系中高度重叠,各指标遗传增益范围为2.82%~69.08%。这些无性系在速生性、水分与光资源利用效率及光合潜在能力等方面各具优势,体现出不同的生长优势与适应策略,可针对东北地区不同立地条件实现“因地选树”,满足多样化造林需求,为杨树无性系在东北地区的推广提供了科学依据。