植物研究 ›› 2026, Vol. 46 ›› Issue (1): 181-194.doi: 10.7525/j.issn.1673-5102.2026.01.016

• 研究论文 • 上一篇    

西藏拉鲁湿地芦苇根际土壤细菌群落多样性及其对环境因子的响应

张敬一凡1,2, 李谊1,2, 毕心怡1,2, 德吉1,2, 张继峰1,2,3, 郭小芳1,2()   

  1. 1.青藏高原生物多样性与生态环境保护教育部重点实验室,拉萨 850000
    2.西藏大学生态环境学院,拉萨 850000
    3.拉萨城市湿地生态系统西藏自治区野外科学观测研究站,拉萨 850000
  • 收稿日期:2025-07-16 出版日期:2026-01-20 发布日期:2026-01-20
  • 通讯作者: 郭小芳 E-mail:gxf005@hotmail.com
  • 作者简介:张敬一凡(1999—),女,硕士研究生,主要从事微生物生态学研究。
  • 基金资助:
    国家重点研发计划政府间国际科技创新合作项目(2021YFE0113700);西藏生态环境监测项目(GZFCG2024-23011);西藏自治区科技计划基地与人才计划项目(XZ202501JD0019);2025年中央财政支持地方高校改革发展专项资金 项目“雅江流域全要素监测网络建设项目”(00061349);2025西藏大学生态环境学院“创新创业”项目(2025-CX-S018)

Diversity and Environmental Responses of the Rhizosphere Bacterial Community in Phragmites australis from the Lhalu Wetland, Xizang

Jingyifan ZHANG1,2, Yi LI1,2, Xinyi BI1,2, Ji DE1,2, Jifeng ZHANG1,2,3, Xiaofang GUO1,2()   

  1. 1.Key Laboratory of Biodiversity and Environment on the Qinghai-Xizang Plateau,Ministry of Education,Lhasa 850000
    2.School of Ecology and Environment,Xizang University,Lhasa 850000
    3.Lhasa,Urban Wetland Ecosystem,Observation and Research Station of Xizang Autonomous Region,Lhasa 850000
  • Received:2025-07-16 Online:2026-01-20 Published:2026-01-20
  • Contact: Xiaofang GUO E-mail:gxf005@hotmail.com

摘要:

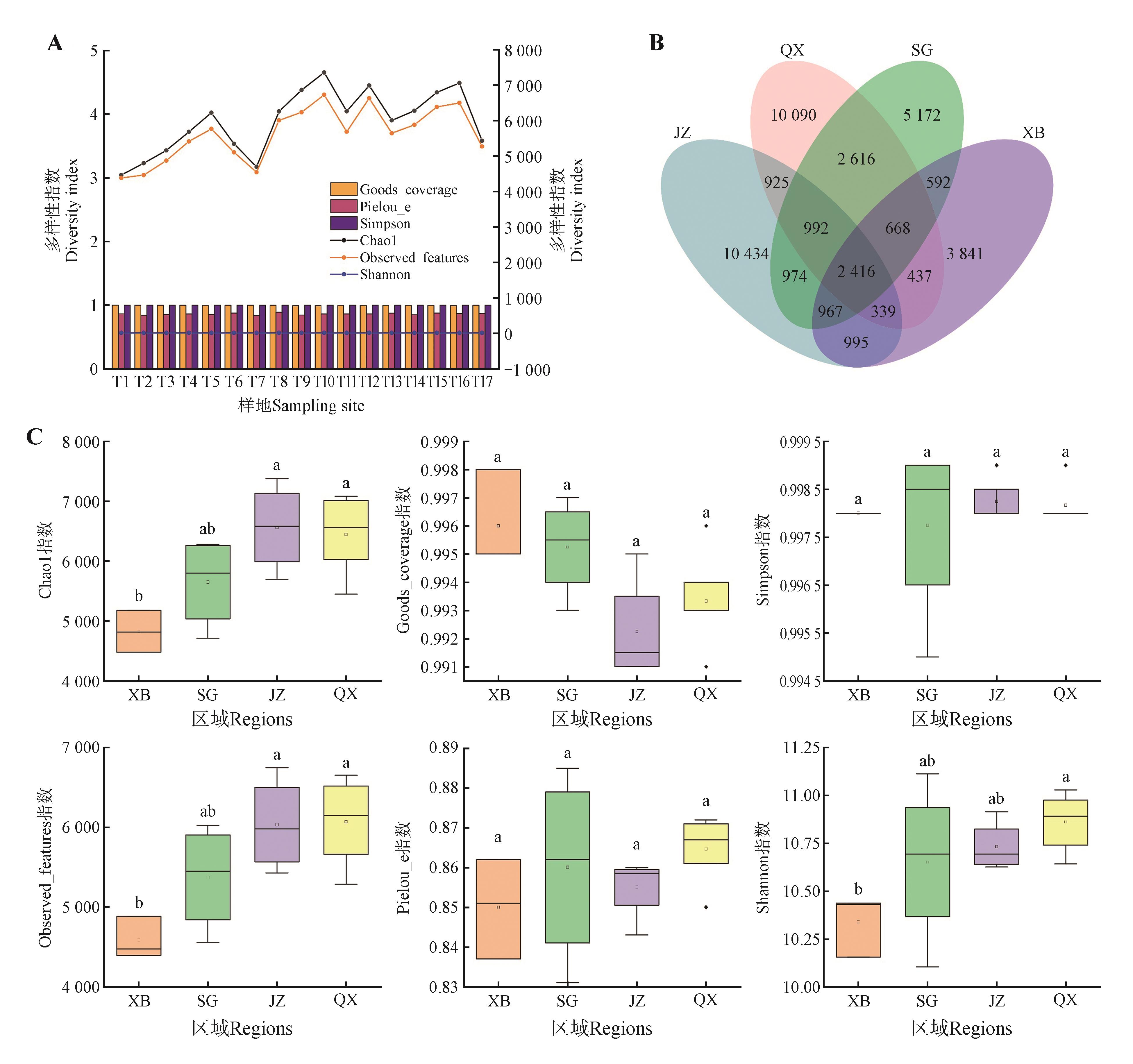
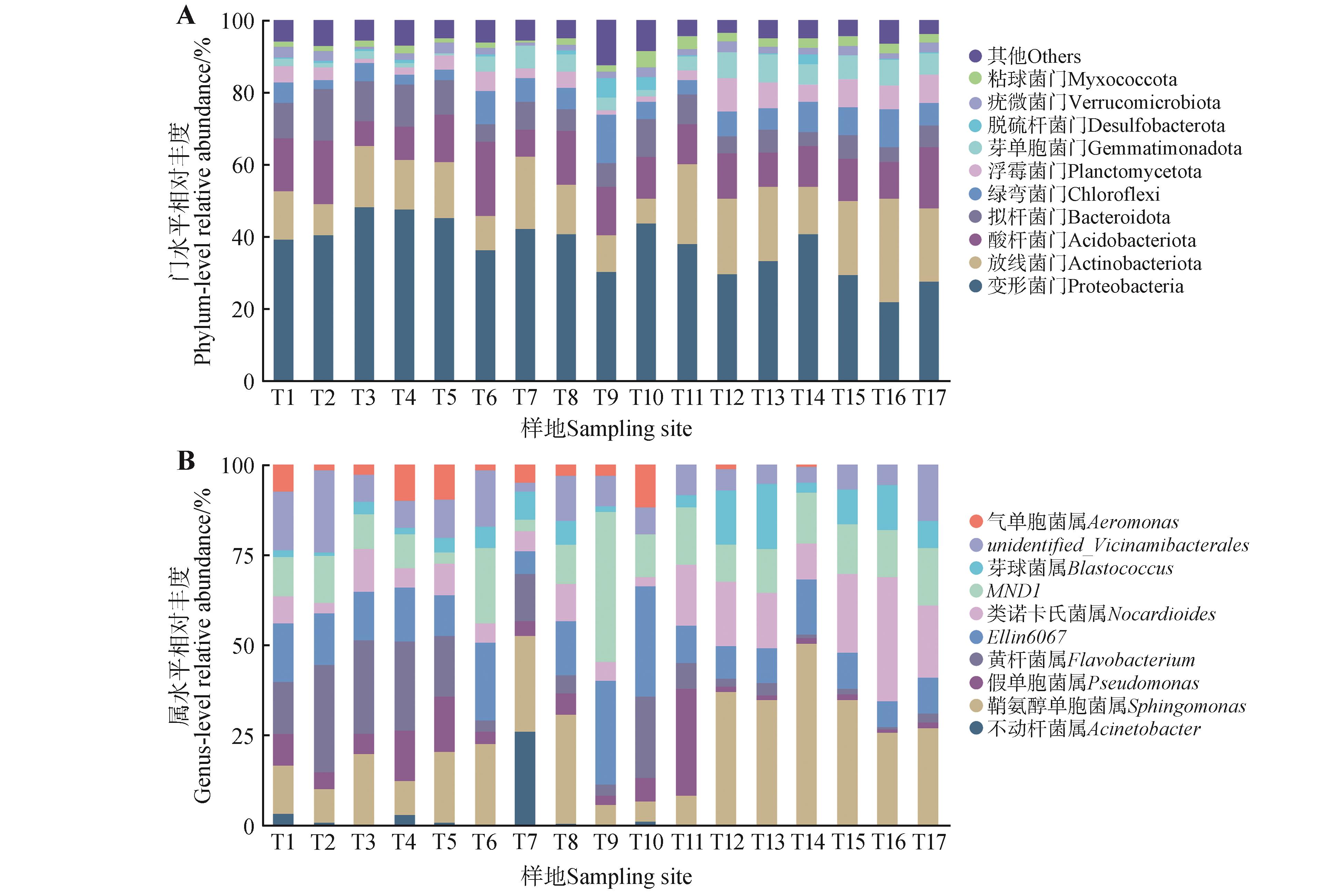
为揭示拉鲁湿地芦苇(Phragmites australis)根际土壤细菌群落结构及其与环境因子的相关性,该研究通过土壤理化指标分析和16S rDNA扩增子高通量测序技术,对拉鲁湿地内不同采样地及区域的芦苇根际土壤细菌群落进行系统分析。共获得43 586个扩增子序列变异,注释结果涵盖64门162纲361目523科1 039属。结果表明:拉鲁湿地芦苇根际土壤细菌优势门包括变形菌门(Proteobacteria)、放线菌门(Actinobacteriota)和酸杆菌门(Acidobacteriota);优势属主要为鞘氨醇单胞菌属(Sphingomonas)。相关性分析显示,土壤中钛和全钾含量是影响芦苇根际细菌群落组成的关键环境因子。综上,拉鲁湿地芦苇根际土壤细菌资源丰富,解析其群落结构特征有助于从微生物生态学角度为拉鲁湿地的保护与管理提供科学依据。

关键词: 高寒湿地, 芦苇, 土壤细菌群落, 多样性, 高通量测序

Abstract:

To investigate the bacterial community structure in the rhizosphere soil of common reed(Phragmites australis) in the Lhalu Wetland and its correlation with environmental factors, this study conducted a systematic analysis using soil physicochemical property measurements and 16S rDNA amplicon high-throughput sequencing. A total of 43 586 amplicon sequence variants were obtained, and the annotation results encompassed 64 phyla, 162 classes, 361 orders, 523 families, and 1 039 genera. The results indicated that the dominant bacterial phyla in the reed rhizosphere soil of the Lhalu Wetland were Proteobacteria, Actinobacteriota, and Acidobacteriota, with Sphingomonas being the predominant genus. Correlation analysis revealed that the contents of titanium and total potassium in the soil were the key environmental factors affecting the composition of the reed rhizosphere bacterial community. In summary, the rhizosphere soil of reeds in the Lhalu Wetland is rich in bacterial resources, and elucidating the characteristics of its community structure provides a scientific basis from the perspective of microbial ecology for the conservation and management of the Lhalu Wetland.

Key words: alpine wetland, Phragmites australis, soil bacterial community, diversity, high-throughput sequencing

中图分类号: