植物研究 ›› 2025, Vol. 45 ›› Issue (5): 686-694.doi: 10.7525/j.issn.1673-5102.2025.05.004
收稿日期:
2025-03-28
出版日期:
2025-09-20
发布日期:
2025-09-28
通讯作者:
全先奎
E-mail:quanxiankui@nefu.edu.cn
作者简介:
王楠(1982—),女,博士,讲师,主要从事森林生态学研究。
基金资助:
Nan WANG1, Jingjing WANG2, Chuankuan WANG2, Xiankui QUAN2()
Received:
2025-03-28
Online:
2025-09-20
Published:
2025-09-28
Contact:
Xiankui QUAN
E-mail:quanxiankui@nefu.edu.cn
摘要:
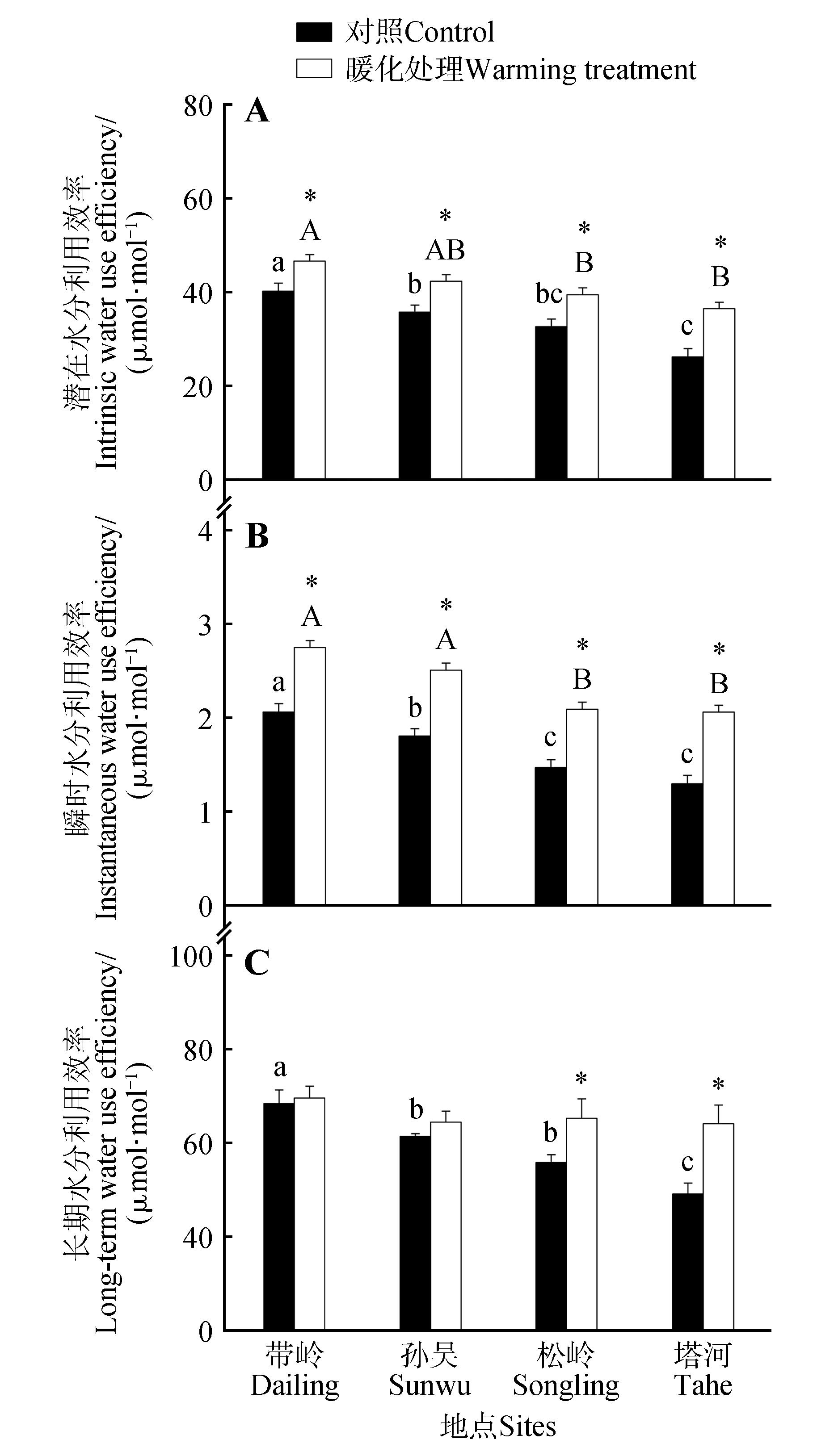
研究气候变暖对树木水分利用效率的影响,有利于揭示树木碳水耦合关系对全球气候变暖的响应。2004年,将4个不同气温地点(年均温从低到高依次为塔河、松岭、孙吴、带岭)生长的兴安落叶松(Larix gmelinii)幼树移栽至其自然分布区南缘的同质园(帽儿山),通过被动增温模拟气候变暖。2022年8月,在同质园和4个移栽地同步采用气体交换法测定兴安落叶松瞬时水分利用效率(WUEi)和潜在水分利用效率(WUEg),并用碳同位素丰度表示长期水分利用效率(WUEL),探讨不同模拟变暖程度对兴安落叶松水分利用效率的影响。结果表明:WUEi和WUEg在不同模拟变暖程度下均显著增大,塔河、松岭、孙吴、带岭的WUEi分别增大33.37%、38.84%、42.06%和58.76%,WUEg分别增大15.94%、18.47%、20.84%和39.10%,WUEL仅在模拟变暖程度较大的松岭和塔河显著增大16.92%和30.56%。WUEi、WUEg和WUEL增大的幅度均与模拟变暖程度呈线性正相关。模拟气候变暖处理前后,WUEi和WUEg均存在显著的地点间差异且具有相似规律,而WUEL仅在模拟气候变暖处理前具有显著的地点间差异。WUEi对模拟气候变暖处理的响应最为敏感,而WUEL仅在模拟变暖程度较大时表现出差异性响应。综上,在研究气候变暖对树木水分利用效率影响时,既要考虑变暖的程度,也要考虑计算方法。
中图分类号:
王楠, 王晶晶, 王传宽, 全先奎. 兴安落叶松水分利用效率对模拟气候变暖的响应[J]. 植物研究, 2025, 45(5): 686-694.
Nan WANG, Jingjing WANG, Chuankuan WANG, Xiankui QUAN. Responses of Water Use Efficiency in Larix gmelinii to Simulated Climate Warming[J]. Bulletin of Botanical Research, 2025, 45(5): 686-694.
表1
兴安落叶松4个移栽点和帽儿山同质园的地理和气候基本特征
地点 Site | 纬度 Latitude (N)/(°) | 经度 Longitude (E)/(°) | 年平均气温 Mean annual temperature/℃ | 平均年降水量 Mean annual precipitation/mm | 1月平均气温 Average temperature in January /℃ | 7月平均气温 Average temperature in July/℃ | 无霜期 Frost-free duration/d |
---|---|---|---|---|---|---|---|
帽儿山 Mao’ershan | 45.40 | 127.50 | 3.10 | 629.00 | -18.5 | 22.0 | 140.0 |
带岭 Dailing | 47.08 | 128.90 | 1.34 | 621.27 | -22.0 | 20.3 | 139.0 |
孙吴 Sunwu | 49.22 | 127.20 | 0.62 | 554.08 | -25.5 | 19.5 | 90.0 |
松岭 Songling | 50.72 | 124.42 | -0.54 | 525.36 | -26.3 | 17.6 | 93.8 |
塔河 Tahe | 52.52 | 124.65 | -2.30 | 463.44 | -25.5 | 16.7 | 89.7 |
表2
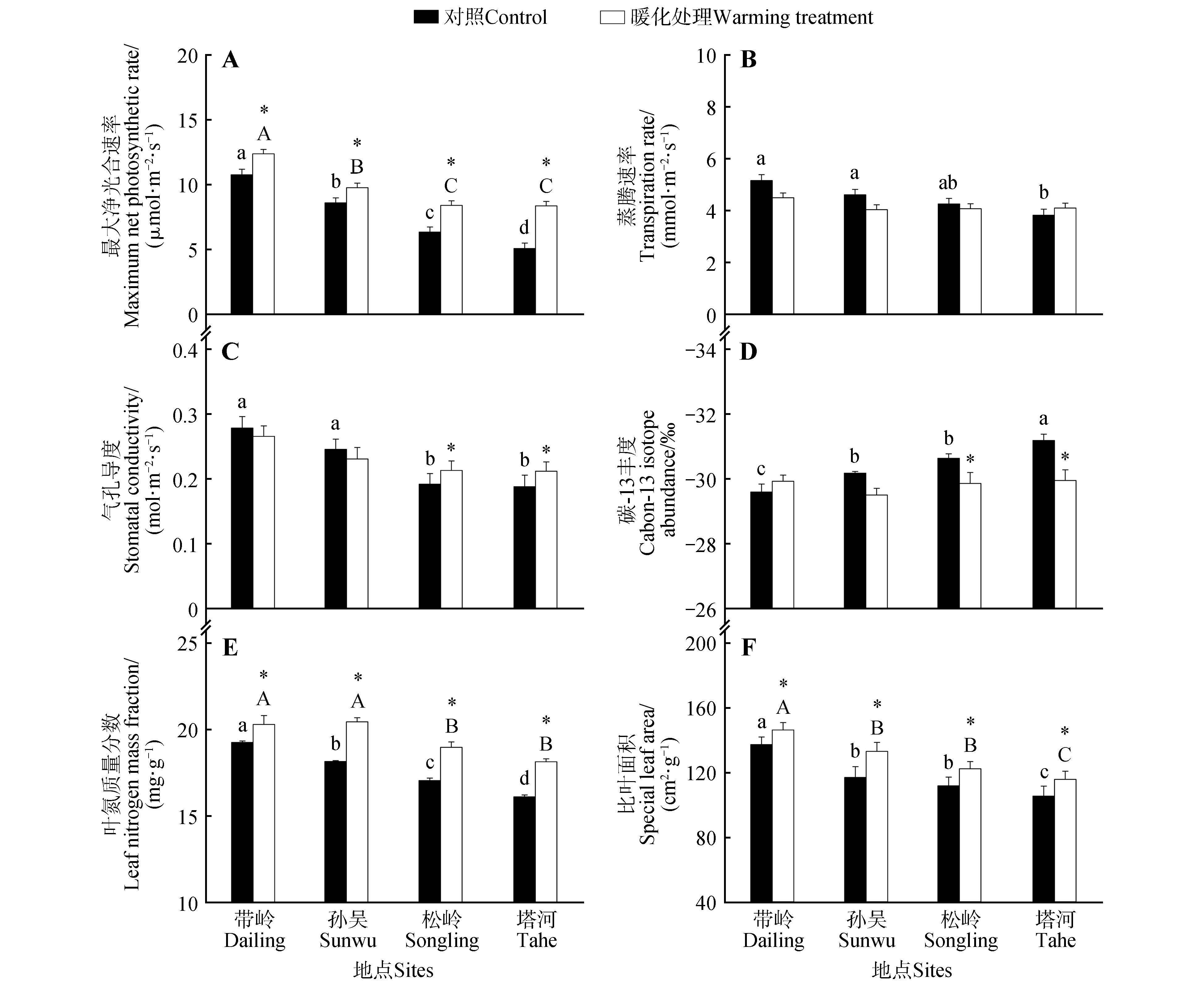
兴安落叶松水分利用效率及相关因子的双因素方差分析
变异来源 Source of variation | 最大净 光合速率 Pmax | 气孔导度 Gs | 蒸腾速率 Tr | 碳-13丰度 δ13C | 潜在水分 利用效率 WUEg | 瞬时水分 利用效率 WUEi | 长期水分 利用效率 WUEL | 叶氮含量 NL | 比叶面积 SLA |
---|---|---|---|---|---|---|---|---|---|
地点 Site | 63.94** | 5.12** | 6.18** | 13.27** | 36.53** | 41.79** | 13.28** | 8.18** | 5.13** |
处理 Treatment | 57.90** | 1.79 | 3.89 | 6.61** | 159.92** | 186.11** | 6.62** | 13.14* | 14.83** |
地点 × 处理 Site × treatment | 2.92* | 3.82* | 2.15 | 2.90* | 4.95* | 2.79* | 2.91* | 2.94* | 3.42* |
[1] | 于贵瑞,高扬,王秋凤,等.陆地生态系统碳-氮-水循环的关键耦合过程及其生物调控机制探讨[J].中国生态农业学报(中英文),2013,21(1):1-13. |
YU G R, GAO Y, WANG Q F,et al.Discussion on the key processes of carbon-nitrogen-water coupling cycles and biological regulation mechanisms in terrestrial ecosystem[J].Chinese Journal of Eco-Agriculture,2013,21(1):1-13. | |
[2] | SAXE H, CANNELL M G R, JOHNSEN Ø,et al.Tree and forest functioning in response to global warming[J].New Phytologist,2001,149(3):369-399. |
[3] | HUANG M T, PIAO S L, SUN Y,et al.Change in terrestrial ecosystem water-use efficiency over the last three decades[J].Global Change Biology,2015,21(6):2366-2378. |
[4] | PICOTTE J J, ROSENTHAL D M, RHODE J M,et al.Plastic responses to temporal variation in moisture availability:consequences for water use efficiency and plant performance[J].Oecologia,2007,153(4):821-832. |
[5] | KLEIN T, DI MATTEO G, ROTENBERG E,et al.Differential ecophysiological response of a major Mediterranean pine species across a climatic gradient[J].Tree Physiology,2013,33(1):26-36. |
[6] | SCHULZE E D, TURNER N C, NICOLLE D,et al.Species differences in carbon isotope ratios,specific leaf area and nitrogen concentrations in leaves of Eucalyptus growing in a common garden compared with along an aridity gradient[J].Physiologia Plantarum,2006,127(3):434-444. |
[7] | NIU S L, XING X R, ZHANG Z,et al.Water-use efficiency in response to climate change:from leaf to ecosystem in a temperate steppe[J].Global Change Biology,2011,17(2):1073-1082. |
[8] | WAY D A, OREN R.Differential responses to changes in growth temperature between trees from different functional groups and biomes:a review and synthesis of data[J].Tree Physiology,2010,30(6):669-688. |
[9] | REICH P B, SENDALL K M, RICE K,et al.Geographic range predicts photosynthetic and growth response to warming in co-occurring tree species[J].Nature Climate Change,2015,5(2):148-152. |
[10] | PRIETO I, LEÓN-SÁNCHEZ L, NICOLÁS E,et al.Warming reduces both photosynthetic nutrient use efficiency and water use efficiency in Mediterranean shrubswarming reduces nutrient use efficiency[J].Environmental and Experimental Botany,2023,210:105331. |
[11] | QUEREJETA J I, REN W, PRIETO I.Vertical decoupling of soil nutrients and water under climate warming reduces plant cumulative nutrient uptake,water-use efficiency and productivity[J].New Phytologist,2021,230(4):1378-1393. |
[12] | 曹生奎,冯起,司建华,等.植物叶片水分利用效率研究综述[J].生态学报,2009,29(7):3882-3892. |
CAO S K, FENG Q, SI J H,et al.Summary on the plant water use efficiency at leaf level[J].Acta Ecologica Sinica,2009,29(7):3882-3892. | |
[13] | FARQUHAR G D, RICHARDS R A.Isotopic composition of plant carbon correlates with water-use efficiency of wheat genotypes[J].Australian Journal of Plant Physiology,1984,11(6):539-552. |
[14] | 任书杰,于贵瑞.中国区域478种C3植物叶片碳稳定性同位素组成与水分利用效率[J].植物生态学报,2011,35(2):119-124. |
REN S J, YU G R.Carbon isotope composition(δ 13C) of C3 plants and water use efficiency in China[J].Chinese Journal of Plant Ecology,2011,35(2):119-124. | |
[15] | 蔡锦枫,薛子静,黄康祥,等.梅里雪山植物稳定碳同位素组成及其内在水分利用效率随海拔梯度的变化[J].生态学杂志,2024,43(6):1558-1565. |
CAI J F, XUE Z J, HUANG K X,et al.Changes in stable carbon isotope composition and intrinsic water use efficiency of plants along an altitude gradient in the Meili Snow Mountain[J].Chinese Journal of Ecology,2024,43(6):1558-1565. | |
[16] | GOWER S T, RICHARDS J H.Larches:deciduous conifers in an evergreen world[J].Bioscience,1990,40(11):818-826. |
[17] | 国家林业和草原局.中国森林资源报告[M].北京:中国林业出版社,2019:275-365. |
National Forestry and Grassland Administration.China forest resources report[M].Beijing:China Forestry Publishing House,2019:275-365. | |
[18] | LEE J Y, MAROTZKE J, BALA G,et al.Future global climate:scenario-based projections and near-term information[M]// MASSON-DELMOTTE V,ZHAI P,PIRANI A,et al.Climate change 2021:the physical science basis.Cambridge:Cambridge University Press,2021:553-672. |
[19] | JU Y L, WANG C K, WANG N,et al.Transplanting larch trees into warmer areas increases the photosynthesis and its temperature sensitivity[J].Tree Physiology,2022,42(12):2521-2533. |
[20] | 苏波,韩兴国,李凌浩,等.中国东北样带草原区植物δ 13C值及水分利用效率对环境梯度的响应[J].植物生态学报,2000,24(6):648-655. |
SU B, HAN X G, LI L H,et al.Responses of δ 13C value and water use efficiency of plant species to environmental gradients along the grassland zone of northeast China transect[J].Chinese Journal of Plant Ecology,2000,24(6):648-655. | |
[21] | 季子敬,全先奎,王传宽.兴安落叶松针叶解剖结构变化及其光合能力对气候变化的适应性[J].生态学报,2013,33(21):6967-6974. |
JI Z J, QUAN X K, WANG C K.Variations in leaf anatomy of Larix gmelinii reflect adaptation of its photosynthetic capacity to climate changes[J].Acta Ecologica Sinica,2013,33(21):6967-6974. | |
[22] | ROUSSEL M, LE THIEC D, MONTPIED P,et al.Diversity of water use efficiency among Quercus robur genotypes:contribution of related leaf traits[J].Annals of Forest Science,2009,66(4):408. |
[23] | 刘飞,刘攀,曹铭,等.稳定同位素技术在植物水分关系研究中的应用综述[J].生态科学,2020,39(6):224-232. |
LIU F, LIU P, CAO M,et al.Review on applications of stable isotope technique in the study of plant and water relation[J].Ecological Science,2020,39(6):224-232. | |
[24] | GOLLUSCIO R A, OESTERHELD M.Water use efficiency of twenty-five co-existing Patagonian species growing under different soil water availability[J].Oecologia,2007,154(1):207-217. |
[25] | 梁逸娴,王传宽,臧妙涵,等.落叶松径向生长和生物量分配对气候变暖的响应[J].植物生态学报,2024,48(4):459-468. |
LIANG Y X, WANG C K, ZANG M H,et al.Responses of radial growth and biomass allocation of Larix gmelinii to climate warming[J].Chinese Journal of Plant Ecology,2024,48(4):459-468. | |
[26] | 李景浩,李慧,魏亚伟,等.樟子松、油松、蒙古栎水分利用效率种间变化及其对环境因子的响应差异[J].植物研究,2016,36(4):581-587. |
LI J H, LI H, WEI Y W,et al.Water use efficiency of Pinus sylvestris,Pinus tabulaeformis,Quercus mongolica and their response differences to environmental factors[J].Bulletin of Botanical Research,2016,36(4):581-587. | |
[27] | 史芮林,张庆芬,李铭,等.植物碳同位素分馏在水分利用效率研究中的应用[J].中国农学通报,2022, 38(23):15-20. |
SHI R L, ZHANG Q F, LI M,et al.Application of plant carbon isotope fractionation in the study of water use efficiency[J].Chinese Agricultural Science Bulletin,2022,38(23):15-20. |
[1] | 李小莉, 苏旭, 王东, 刘玉萍, 陈金元, 孙成林. 气候变化背景下青藏高原特有种唐古特红景天的地理分布格局预测[J]. 植物研究, 2024, 44(2): 168-179. |
[2] | 贺晓慧, 高健, 朱丽, 郝瑞敏, 黄磊, 朱晋, 程莉, 周洁. 蒙古扁桃潜在地理分布对气候变化的响应[J]. 植物研究, 2024, 44(2): 180-191. |
[3] | 杨倩, 袁园, 苏旭, 刘玉萍, 王东, 李小莉, 孙成林, 杨萍. 气候变化背景下糙果紫堇在中国适宜分布区的预测[J]. 植物研究, 2024, 44(1): 17-26. |
[4] | 李梦烁, 刘莹泽, 鲁焕, 强胜. 基因转录介导同质园条件下拟南芥不同地理种群的光合能力分化[J]. 植物研究, 2023, 43(1): 90-99. |
[5] | 唐兴港, 袁颖丹, 张金池. 气候变化对杉木适生区和生态位的影响[J]. 植物研究, 2022, 42(1): 151-160. |
[6] | 马鹏宇, 张红光, 昝鹏, 顾伟平, 温璐宁, 张子嘉, 翁海龙, 孙涛, 毛子军. 长期氮添加对东北地区兴安落叶松人工林土壤酶的影响[J]. 植物研究, 2019, 39(4): 598-603. |
[7] | 李宁宁, 张爱平, 张林, 王克清, 罗红燕, 潘开文. 气候变化下青藏高原两种云杉植物的潜在适生区预测[J]. 植物研究, 2019, 39(3): 395-406. |
[8] | 刘然, 王春晶, 何健, 张志翔. 气候变化背景下中国冷杉属植物地理分布模拟分析[J]. 植物研究, 2018, 38(1): 37-46. |
[9] | 曹凤艳, 毛子军, 曲来叶. 火烧迹地木炭对兴安落叶松种子萌发的影响[J]. 植物研究, 2017, 37(1): 104-108. |
[10] | 李景浩, 李慧, 魏亚伟, 张淞著, 朱文旭, 邓继峰, 宋依璇, 周永斌. 樟子松、油松、蒙古栎水分利用效率种间变化及其对环境因子的响应差异[J]. 植物研究, 2016, 36(4): 581-587. |
[11] | 代忠迪;姜立春. 大兴安岭不同生态区域兴安落叶松树高曲线的研究[J]. 植物研究, 2015, 35(4): 583-589. |
[12] | 王秀伟;毛子军*. 兴安落叶松树干CO2各通量成分对树干呼吸的贡献及其主要影响因子[J]. 植物研究, 2014, 34(4): 452-457. |
[13] | 袁博;白红英*;章杰;马新萍. 秦岭山地植被净初级生产力及对气候变化的响应[J]. 植物研究, 2013, 33(2): 225-231. |
[14] | 孟庆焕;祖元刚;郭晓瑞;段喜华;*. 外源NO对增补UV-B辐射下兴安落叶松幼苗叶片光合色素和叶绿素荧光特性的影响[J]. 植物研究, 2013, 33(2): 181-185. |
[15] | 郑广宇;王文杰*;王晓春;于景华;刘丹;邱岭;祖元刚. 帽儿山地区兴安落叶松人工林树木年轮气候学研究[J]. 植物研究, 2012, 32(2): 191-197. |
阅读次数 | ||||||
全文 |
|
|||||
摘要 |
|
|||||