植物研究 ›› 2026, Vol. 46 ›› Issue (2): 336-347.doi: 10.7525/j.issn.1673-5102.2026.02.012
• 研究论文column:Original Paper • 上一篇 下一篇
收稿日期:2025-12-30
出版日期:2026-03-20
发布日期:2026-04-02
通讯作者:
杜彦君,王文娜
E-mail:yanjun.du@hainanu.edu.cn;wennawang@hainanu.edu.cn
作者简介:杨华(2000—),女,硕士研究生,主要从事红树林生理生态研究。
基金资助:
Hua YANG, Qihang LU, Yanjun DU(
), Wenna WANG(
)
Received:2025-12-30
Online:2026-03-20
Published:2026-04-02
Contact:
Yanjun DU, Wenna WANG
E-mail:yanjun.du@hainanu.edu.cn;wennawang@hainanu.edu.cn
摘要:
植物碳(C)、氮(N)化学计量特征反映其资源分配策略,但现有研究常局限于单一器官,忽视了自然生境下整株与土壤系统的协同反馈。这一局限在受入侵威胁的红树林中尤为突出,制约了对种间竞争机制的深入理解。本研究以海南四必湾入侵种拉关木(Laguncularia racemosa)与乡土种白骨壤(Avicennia marina)为对象,探究旱、雨季纯林与混交林中叶、枝、根的C、N含量和C∶N(质量比),以及根际表层(0~10 cm)及亚表层(10~20 cm)土壤理化因子(全C、全N含量、C∶N、含水量、pH及电导率)的季节动态及关联格局。结果表明:相比于拉关木,白骨壤各器官始终维持显著高的N含量和低的C∶N,且其纯林表层土壤N含量在旱季显著高于拉关木纯林,而C∶N显著更低。与雨季相比,旱季显著增强拉关木根与枝间的化学计量关联,且其各器官C、N特征均与各土层理化因子紧密相关;相反,白骨壤仅在雨季表现出全株化学计量关联,而旱季其根与叶及枝间的关联消失,叶和枝化学计量特征转而与亚表层土壤理化因子(含水量、电导率或N含量)密切相关。树种混交在旱季增强白骨壤器官间C、N关联的普遍性,并提高叶片C含量;在雨季则显著提高拉关木叶片N含量并降低C∶N。综上,拉关木以较低的组织构建成本,及其在旱季维持与土壤资源的紧密关联,形成竞争优势。树种混交虽可增强白骨壤的器官间生理关联,却使拉关木更有效地缓解自身养分限制,从而可能扩大其入侵。因此,如果在进行生态修复的红树林群落中存在外来入侵植物,需警惕其通过种间互惠效应误导管理策略的制定,反而加速其扩张的潜在风险。
中图分类号:
杨华, 卢启航, 杜彦君, 王文娜. 旱雨季交替对入侵种拉关木与乡土种白骨壤整株碳氮分配及权衡策略的影响[J]. 植物研究, 2026, 46(2): 336-347.
Hua YANG, Qihang LU, Yanjun DU, Wenna WANG. Whole-plant Carbon and Nitrogen Allocation and Trade-off Strategies of Invasive Laguncularia racemosa and Native Avicennia marina across Dry and Wet Seasons[J]. Bulletin of Botanical Research, 2026, 46(2): 336-347.
表1
不同季节拉关木、白骨壤纯林和混交林表层土壤理化属性
土层 Soil layer/cm | 季节 Season | 群落类型 Stand type | 全氮 Total nitrogen/ (g·kg-1) | 全碳 Total carbon/ (g·kg-1) | 碳氮比 Carbon-to- nitrogen ratio | 电导率 Electric conductivity/ (mS·cm-1) | 酸碱度 pH | 含水量 Water content/% |
|---|---|---|---|---|---|---|---|---|
| [0,10) | 雨季 Wet season | Lr-P | 0.05±0.01A* | 4.27±0.63A | 93.43±8.21A* | 3.24±1.30A | 7.53±0.07A | 12.57±1.62A |
| Am-P | 0.06±0.02A* | 3.25±0.53A | 55.55±0.37B* | 2.22±0.09A | 7.30±0.06AB | 12.50±2.58A | ||
| Lr-Am-M | 0.08±0.02A* | 4.95±1.18A | 62.88±4.95B* | 2.42±0.16A | 7.20±0.12B | 13.62±2.37A | ||
旱季 Dry season | Lr-P | 0.32±0.04B* | 5.77±0.50A | 17.05±2.61A* | 5.75±4.09A | 7.37±0.15A | 15.25±5.09A | |
| Am-P | 0.62±0.07A* | 6.25±1.31A | 10.02±1.72B* | 5.07±2.01A | 7.27±0.27A | 17.52±2.88A | ||
| Lr-Am-M | 0.39±0.02B* | 3.32±0.17B | 8.95±0.80B* | 3.48±1.07A | 7.13±0.07A | 15.98±1.30A | ||
| [ | 雨季 Wet season | Lr-P | 0.04±0.00A* | 2.76±0.54A | 79.14±10.57A* | 8.23±2.17A | 7.37±0.09A | 14.23±1.99A |
| Am-P | 0.05±0.02A* | 3.21±1.64A | 49.41±7.10B* | 5.10±2.54A | 7.30±0.12A | 12.81±2.17A | ||
| Lr-Am-M | 0.06±0.01A* | 3.71±0.82A | 56.70±2.78B* | 5.08±1.22A | 7.33±0.07A | 17.44±2.46A | ||
旱季 Dry season | Lr-P | 0.25±0.11A* | 3.80±0.99A | 17.55±1.64A* | 6.10±3.15A | 7.33±0.26A | 15.28±5.07A | |
| Am-P | 0.31±0.07A* | 2.81±0.69A | 9.47±1.34B* | 2.79±0.85A | 7.27±0.07A | 9.91±2.08A | ||
| Lr-Am-M | 0.34±0.01A* | 2.84±0.17A | 8.50±0.29B* | 3.00±0.62A | 7.23±0.09A | 15.45±0.33A |
表2
季节、树种、器官及其交互作用对拉关木和白骨壤碳、氮质量分数及碳氮比的三因素方差分析结果
变量 Variable | 全碳 Total carbon/(g·kg-1) | 全氮 Total nitrogen/(g·kg-1) | 碳氮比 Carbon-to-nitrogen ratio | ||||||
|---|---|---|---|---|---|---|---|---|---|
自由度 df | F | P | 自由度df | F | P | 自由度df | F | P | |
| 季节 Seasons | 1 | 19.53 | <0.01 | 1 | 3.84 | 0.06 | 1 | 0.10 | 0.75 |
| 树种 Tree species | 1 | 2.14 | 0.15 | 1 | 228.83 | <0.01 | 1 | 54.16 | <0.01 |
| 器官 Organs | 2 | 136.83 | <0.01 | 2 | 130.68 | <0.01 | 2 | 17.36 | <0.01 |
| 季节×树种 Seasons×Tree species | 1 | 0.12 | 0.73 | 1 | 2.35 | 0.13 | 1 | 0.02 | 0.88 |
| 季节×器官 Seasons×Organs | 2 | 1.88 | 0.16 | 2 | 1.39 | 0.26 | 2 | 4.16 | 0.02 |
| 树种×器官 Tree species×Organs | 2 | 1.01 | 0.37 | 2 | 19.14 | <0.01 | 2 | 5.73 | <0.01 |
| 季节×树种×器官 Seasons×Tree species×Organs | 2 | 1.37 | 0.26 | 2 | 1.36 | 0.27 | 2 | 3.84 | 0.03 |
表3
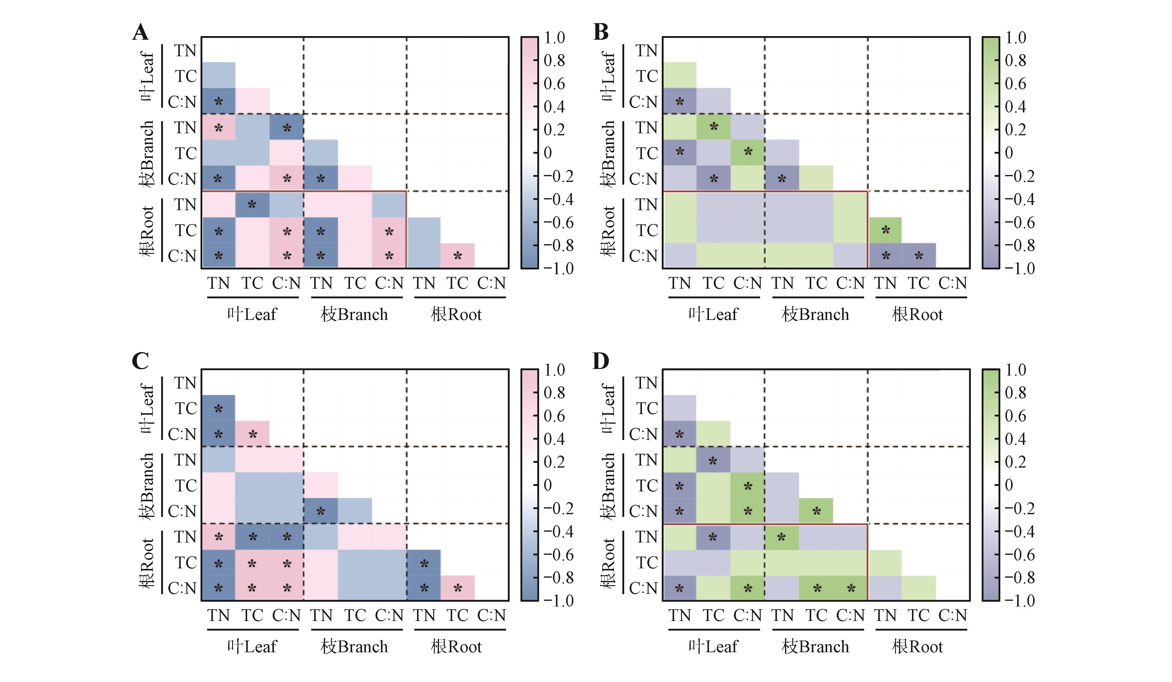
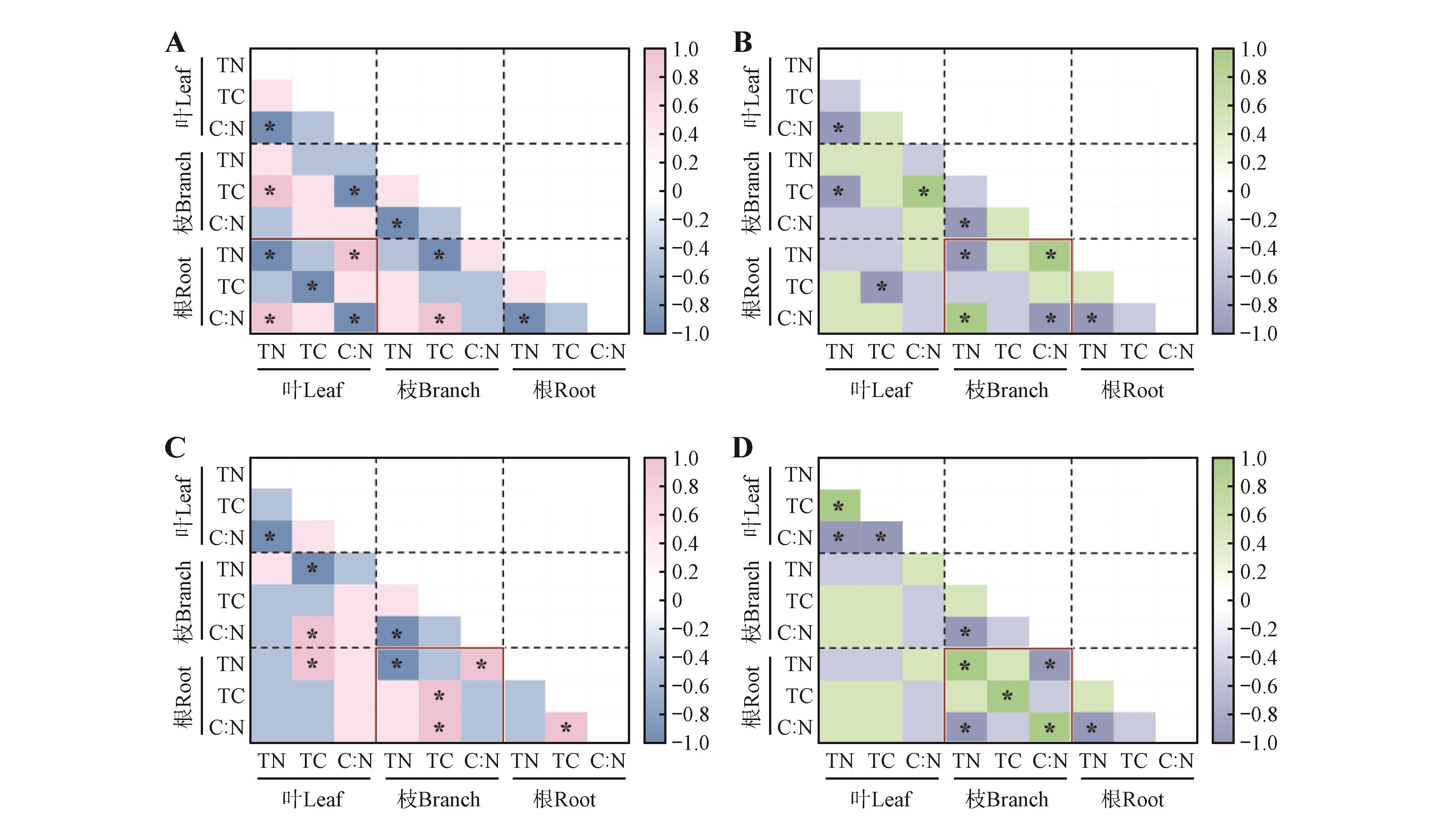
不同季节及土壤深度下拉关木和白骨壤各器官碳、氮特征与土壤理化因子Spearman相关系数
土壤深度 Soil depth/cm | 季节 Season | 树种 Tree species | 关联类型 Relationship type | ||||||||
|---|---|---|---|---|---|---|---|---|---|---|---|
叶 Leaf | 土壤 Soil | 相关系数 r | 枝 Branch | 土壤 Soil | 相关系数 r | 根 Root | 土壤 Soil | 相关系数 r | |||
| [0,10) | 雨季 Wet season | 拉关木Lr | N | pH | -0.883* | C | N | 0.971** | C∶N | 含水量 | 0.829* |
| C∶N | pH | 0.883* | C | C | 1.000** | ||||||
| C | 含水量 | 0.943** | |||||||||
| 白骨壤Am | ns | C | N | 0.928** | C | 电导率 | 0.829* | ||||
| C | 含水量 | 0.886* | N | 电导率 | -0.943** | ||||||
| C∶N | 电导率 | 0.829* | |||||||||
| C∶N | pH | -0.883* | |||||||||
旱季 Dry season | 拉关木Lr | C | 电导率 | 0.841* | C | N | -0.886* | N | C | -0.829* | |
| C | 含水量 | 0.829* | N | C∶N | -0.829* | ||||||
| C∶N | C | 0.829* | C∶N | C | 0.829* | ||||||
| C∶N | C∶N | 0.829* | C∶N | C∶N | 0.829* | ||||||
| 白骨壤Am | ns | ns | ns | ||||||||
| [ | 雨季 Wet season | 拉关木Lr | ns | ns | C∶N | C | 0.829* | ||||
| C∶N | 含水量 | 0.943** | |||||||||
| 白骨壤Am | ns | C | N | 0.943* | C | 电导率 | -0.829* | ||||
| C | C | 0.829* | |||||||||
旱季 Dry season | 拉关木Lr | C | C | 0.829* | C | C∶N | 0.829* | N | C∶N | -0.829* | |
| C∶N | C∶N | 0.829* | C∶N | C∶N | 0.829* | ||||||
| 白骨壤Am | C∶N | 含水量 | 0.886* | C | N | 0.829* | ns | ||||
| C∶N | 电导率 | -0.886* | |||||||||
| [1] | CHEN X L, CHEN H Y H. Plant mixture balances terrestrial ecosystem C∶N∶P stoichiometry[J].Nature Communications,2021,12:4562. |
| [2] | PEÑUELAS J, SARDANS J.The global nitrogen-phosphorus imbalance[J].Science,2022,375(6578):266-267. |
| [3] | LIU R, YANG X J, GAO R R,et al.Coordination of economics spectra in leaf,stem and root within the genus Artemisia along a large environmental gradient in China[J].Global Ecology and Biogeography,2023,32(2):324-338. |
| [4] | WRIGHT I J, REICH P B, WESTOBY M,et al.The worldwide leaf economics spectrum[J].Nature,2004,428:821-827. |
| [5] | DÍAZ S, KATTGE J, CORNELISSEN J H C,et al.The global spectrum of plant form and function[J].Nature,2016,529:167-171. |
| [6] | VAN KLEUNEN M, WEBER E, FISCHER M.A meta-analysis of trait differences between invasive and non-invasive plant species[J].Ecology Letters,2010,13(2):235-245. |
| [7] | HEBERLING J M, FRIDLEY J D.Resource-use strategies of native and invasive plants in Eastern North American forests[J].New Phytologist,2013,200(2):523-533. |
| [8] | RILOV G, CANNING-CLODE J, GUY-HAIM T.Ecological impacts of invasive ecosystem engineers:a global perspective across terrestrial and aquatic systems[J].Functional Ecology,2024,38(1):37-51. |
| [9] | FUNK J L, VITOUSEK P M.Resource-use efficiency and plant invasion in low-resource systems[J].Nature,2007,446(7139):1079-1081. |
| [10] | STOTZ G C, SALGADO-LUARTE C, ESCOBEDO V M,et al.Phenotypic integration limits the variation in plant phenotypic plasticity among traits:a meta-analysis[J].Functional Ecology,2025,39(11):3021-3033. |
| [11] | HE N P, LI Y, LIU C C,et al.Plant trait networks:improved resolution of the dimensionality of adaptation[J].Trends in Ecology & Evolution,2020,35(10):908-918. |
| [12] | MATESANZ S, BLANCO-SÁNCHEZ M, RAMOS-MUÑOZ M,et al.Phenotypic integration does not constrain phenotypic plasticity:differential plasticity of traits is associated to their integration across environments[J].New Phytologist,2021,231(6):2359-2370. |
| [13] | CARRILLO Y, BELL C, KOYAMA A,et al.Plant traits,stoichiometry and microbes as drivers of decomposition in the rhizosphere in a temperate grassland[J].Journal of Ecology,2017,105(6):1750-1765. |
| [14] | TESTE F P, KARDOL P, TURNER B L,et al.Plant-soil feedback and the maintenance of diversity in Mediterranean-climate shrublands[J].Science,2017,355(6321):173-176. |
| [15] | CHENG J K, YU S X.Nitrogen allocation among leaves and roots mediates the interaction between plant life history trade-off and density dependence[J].Frontiers in Plant Science,2025,16:1549801. |
| [16] | GOLDBERG L, LAGOMASINO D, THOMAS N,et al.Global declines in human-driven mangrove loss[J].Global Change Biology,2020,26(10):5844-5855. |
| [17] | BAI J K, MENG Y C, GOU R K,et al.The linkages between stomatal physiological traits and rapid expansion of exotic mangrove species (Laguncularia racemosa) in new territories[J].Frontiers in Marine Science,2023,10:1136443. |
| [18] | LI H K, CHEN C L, ZHOU J Y,et al.Exotic mangrove Laguncularia racemosa litter input accelerates nutrient cycling in mangrove ecosystems[J].Frontiers in Plant Science,2024,15:1463548. |
| [19] | SOBUJ N, SINGH K, BYUN C.Responses of invasive and native plant species to drought stress and elevated CO2 concentrations:a meta-analysis[J].NeoBiota,2024,96:381-401. |
| [20] | COHEN I, ZANDALINAS S I, HUCK C,et al.Meta-analysis of drought and heat stress combination impact on crop yield and yield components[J].Plant Physiology,2021,171(1):66-76. |
| [21] | CARDONA-OLARTE P, KRAUSS K W, TWILLEY R R.Leaf gas exchange and nutrient use efficiency help explain the distribution of two neotropical mangroves under contrasting flooding and salinity[J].International Journal of Forestry Research,2013,2013(1):524625. |
| [22] | NGUYEN H T, STANTON D E, SCHMITZ N,et al.Growth responses of the mangrove Avicennia marina to salinity:development and function of shoot hydraulic systems require saline conditions[J].Annals of Botany,2015,115(3):397-407. |
| [23] | LEISHMAN M R, HASLEHURST T, ARES A,et al.Leaf trait relationships of native and invasive plants:community- and global-scale comparisons[J].New Phytologist,2007,176(3):635-643. |
| [24] | WANG L M, MU M R, LI X F,et al.Differentiation between true mangroves and mangrove associates based on leaf traits and salt contents[J].Journal of Plant Ecology,2011,4(4):292-301. |
| [25] | 陈毅青,陈宗铸,陈小花,等.石梅湾3种植物叶片与其群落凋落物C,N,P生态化学计量特征研究[J].林业资源管理,2020,(4):66-73. |
| CHEN Y Q, CHEN Z Z, CHEN X H,et al.A study on ecological stoichiometric characteristics of C,N and P in three kinds of plant leaves and their community litters in Shimeiwan of Hainan Island[J].Forest and Grassland Resources Research,2020,(4):66-73. | |
| [26] | ADLER P B, SALGUERO-GÓMEZ R, COMPAGNONI A,et al.Functional traits explain variation in plant life history strategies[J].Proceedings of the National Academy of Sciences of the United States of America,2014,111(2):740-745. |
| [27] | FRESCHET G T, ROUMET C, COMAS L H,et al.Root traits as drivers of plant and ecosystem functioning:current understanding,pitfalls and future research needs[J].New Phytologist,2021,232(3):1123-1158. |
| [28] | PÉREZ A, MACHADO W, SANDERS C J.Anthropogenic and environmental influences on nutrient accumulation in mangrove sediments[J].Marine Pollution Bulletin,2021,165:112174. |
| [29] | WANG Y, LI D Y, LU Z Q,et al.Decomposition and variation in carbon and nitrogen of leaf litter mixtures in a subtropical mangrove forest[J].Forests,2024,15(4):672. |
| [30] | CHAO L, LIU Y Y, FRESCHET G T,et al.Litter carbon and nutrient chemistry control the magnitude of soil priming effect[J].Functional Ecology,2019,33(5):876-888. |
| [31] | HANDA I T, AERTS R, BERENDSE F,et al.Consequences of biodiversity loss for litter decomposition across biomes[J].Nature,2014,509:218-221. |
| [32] | JOLY F X, FROMIN N, KIIKKILÄ O,et al.Diversity of leaf litter leachates from temperate forest trees and its consequences for soil microbial activity[J].Biogeochemistry,2016,129:373-388. |
| [33] | SANTONJA M, RANCON A, FROMIN N,et al.Plant litter diversity increases microbial abundance,fungal diversity,and carbon and nitrogen cycling in a Mediterranean shrubland[J].Soil Biology and Biochemistry,2017,111:124-134. |
| [34] | REEF R, FELLER I C, LOVELOCK C E.Nutrition of mangroves[J].Tree Physiology,2010,30(9):1148-1160. |
| [35] | YU Z W, WANG M L, SUN Z Y,et al.Changes in the leaf functional traits of mangrove plant assemblages along an intertidal gradient in typical mangrove wetlands in Hainan,China[J].Global Ecology and Conservation,2023,48:e02749. |
| [36] | LIU Q Y, WANG H M, XU X L.Root nitrogen acquisition strategy of trees and understory species in a subtropical pine plantation in southern China[J].European Journal of Forest Research,2020,139(5):791-804. |
| [37] | HU G, ZHANG Z H, LI L.Responses of carbon,nitrogen,and phosphorus contents and stoichiometry in soil and fine roots to natural vegetation restoration in a tropical mountainous area,southern China[J].Frontiers in Plant Science,2023,14:1181365. |
| [38] | WANG J X, VILLAR-SALVADOR P, LI G L,et al.Moderate water stress does not inhibit nitrogen remobilization,allowing fast growth in high nitrogen content Quercus variabilis seedlings under dry conditions[J].Tree Physiology,2019,39(4):650-660. |
| [39] | HEINEMANN B, HILDEBRANDT T M.The role of amino acid metabolism in signaling and metabolic adaptation to stress-induced energy deficiency in plants[J].Journal of Experimental Botany,2021,72(13):4634-4645. |
| [40] | ZAYED O, HEWEDY O A, ABDELMOTELEB A,et al.Nitrogen journey in plants:from uptake to metabolism,stress response,and microbe interaction[J].Biomolecules,2023,13(10):1443. |
| [41] | LIANG S Y, TAN T, WU D Z,et al.Seasonal variations in carbon,nitrogen,and phosphorus of Pinus yunnanensis at different stand ages[J].Frontiers in Plant Science,2023,14:1107961. |
| [42] | HASHIMOTO Y, MASUMOTO T, ITO T,et al.Can fine-root non-structural carbohydrates explain seasonal variations in the respiration in subalpine forests?[J].Physiologia Plantarum,2025,177(6):e70615. |
| [43] | ROBERT E M, SCHMITZ N, COPINI P,et al.Visualization of the stem water content of two genera with secondary phloem produced by successive cambia through Magnetic Resonance Imaging (MRI)[J].Journal of Plant Hydraulics,2014,1:e0006. |
| [44] | LOVELOCK C E, BALL M C, FELLER I C,et al.Variation in hydraulic conductivity of mangroves:influence of species,salinity,and nitrogen and phosphorus availability[J].Physiologia Plantarum,2006,127(3):457-464. |
| [45] | REEF R, MARKHAM H L, SANTINI N S,et al.The response of the mangrove Avicennia marina to heterogeneous salinity measured using a split-root approach[J].Plant and Soil,2015,393(1):297-305. |
| [46] | WEI L L, LOCKINGTON D A, POH S C,et al.Water use patterns of estuarine vegetation in a tidal creek system[J].Oecologia,2013,172(2):485-494. |
| [47] | ZIPFEL C, OLDROYD G E D.Plant signalling in symbiosis and immunity[J].Nature,2017,543:328-336. |
| [48] | SURIYAGODA L D B, RYAN M H, GILLE C E,et al.Phosphorus fractions in leaves[J].New Phytologist,2023,237(4):1122-1135. |
| [49] | MÉNDEZ-ALONZO R, LÓPEZ-PORTILLO J, MOCTEZUMA C,et al.Osmotic and hydraulic adjustment of mangrove saplings to extreme salinity[J].Tree Physiology,2016,36(12):1562-1572. |
| [50] | SOBRADO M A.Relationship of water transport to anatomical features in the mangrove Laguncularia racemosa grown under contrasting salinities[J].New Phytologist,2007,173(3):584-591. |
| [51] | SUÁREZ N.Leaf longevity,construction,and maintenance costs of three mangrove species under field conditions[J].Photosynthetica,2003,41(3):373-381. |
| [52] | KOMIYAMA A, ONG J E, POUNGPARN S.Allometry,biomass,and productivity of mangrove forests:a review[J].Aquatic Botany,2008,89(2):128-137. |
| [53] | LANG'AT J K S, KIRUI B K Y, SKOV M W,et al.Species mixing boosts root yield in mangrove trees[J].Oecologia,2013,172(1):271-278. |
| [1] | 刘熹, 黄弘远, 易盛昌, 余雅迪, 王皓, 倪小康, 胡玉丽, 张令. 入侵植物与菌根真菌互作及其对土壤氮循环的影响研究进展[J]. 植物研究, 2025, 45(3): 371-385. |
| [2] | 江燕东, 彭正东, 徐琪, 甘婉怡, 黄柳菁. 喜旱莲子草叶片、细根功能性状对异质生境的响应[J]. 植物研究, 2024, 44(3): 410-419. |
| [3] | 陈家兴, 王姝, 陈林丽, 侯夏丽, 杨庆祝, 尹任娅. 干旱条件对鬼针草和醉鱼草种间相互作用及生长的影响[J]. 植物研究, 2023, 43(5): 720-728. |
| [4] | 马可心, 张梅, 方馨, 唐丽丽, 韩建华, 杨丽芳, 石福臣. 入侵植物曼陀罗对本地植物功能性状和土壤碳、氮、磷化学计量特征的影响[J]. 植物研究, 2020, 40(6): 867-875. |
| [5] | 祖元刚;张晓楠;任之光;赵修华. 入侵植物假苍耳对土壤中铜、铅重金属污染的富集特征[J]. 植物研究, 2010, 30(5): 612-616. |
| [6] | 严岳鸿, 何祖霞, 佘书生, 黄忠良, 邢福武. 香港东北角吉澳群岛入侵植物调查[J]. 植物研究, 2005, 25(2): 242-248. |
| [7] | 黄华, 郭水良. 外来入侵植物加拿大一枝黄花居群间遗传差异分析[J]. 植物研究, 2005, 25(2): 197-204. |
| 阅读次数 | ||||||
|
全文 |
|
|||||
|
摘要 |
|
|||||