植物研究 ›› 2025, Vol. 45 ›› Issue (5): 783-794.doi: 10.7525/j.issn.1673-5102.2025.05.012

• 研究论文 • 上一篇    下一篇

生草栽培对桃园土壤氨挥发的影响

姜天佑1,2, 梁硕硕2, 李程庆1,2, 胡留申3, 熊帅3, 吉喜燕1, 侯梅芳1, 曹林奎2, 沙之敏2()   

  1. 1.上海应用技术大学,上海 201418
    2.上海交通大学,上海 200030
    3.上海市浦东新区农业技术推广中心,上海 201201
  • 收稿日期:2025-04-14 出版日期:2025-09-20 发布日期:2025-09-28
  • 通讯作者: 沙之敏 E-mail:zhiminsha@sjtu.edu.cn
  • 作者简介:姜天佑(1996—),男,硕士研究生,主要从事果园生态效应研究。
  • 基金资助:
    上海市农业科技创新项目(沪农科I024001)

Effect of Grass Cultivation on Ammonia Volatility in Peach Orchard Soil

Tianyou JIANG1,2, Shuoshuo LIANG2, Chengqing LI1,2, Liushen HU3, Shuai XIONG3, Xiyan JI1, Meifang HOU1, Linkui CAO2, Zhimin SHA2()   

  1. 1.Shanghai Institute of Technology,Shanghai 201418
    2.Shanghai Jiao Tong University,Shanghai 200030
    3.Shanghai Pudong New Area Agricultural Technology Promotion Center,Shanghai 201201
  • Received:2025-04-14 Online:2025-09-20 Published:2025-09-28
  • Contact: Zhimin SHA E-mail:zhiminsha@sjtu.edu.cn

摘要:

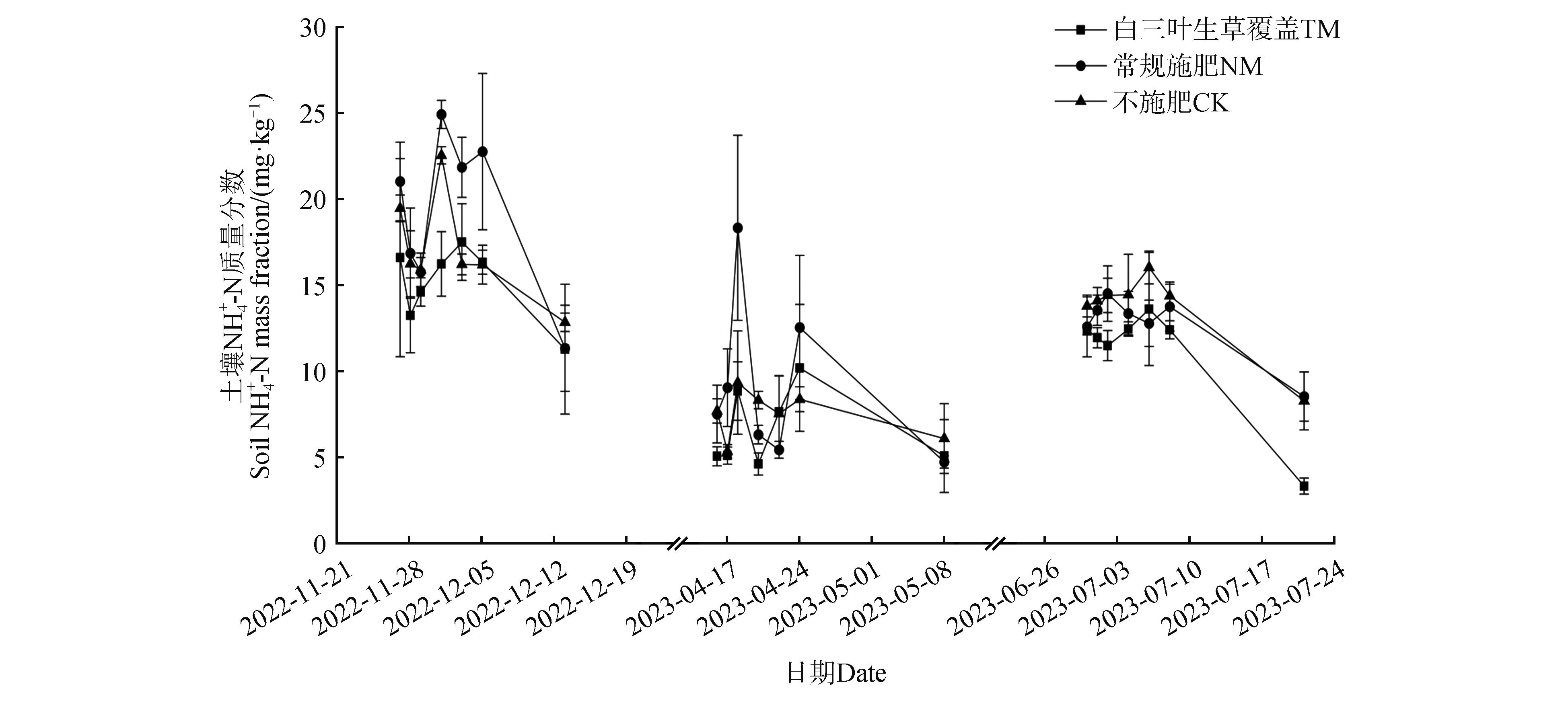
在种植业生产中,采用常规方式种植果树引起的土壤氨挥发呈逐年增加的趋势。该研究采用密闭室便携式真空泵间歇抽气法研究生草栽培对桃园土壤氨挥发的影响,以上海市浦东新区南汇桃园在不同生草覆盖下土壤氨挥发排放量为研究对象,设置白三叶(Trifolium repens)生草覆盖栽培模式(TM)和常规施肥(NM)处理,不施肥处理为空白对照(CK)。结果表明:NM处理下桃园周年土壤氨挥发排放量和氮(N)损失率分别为13.08 kghm-2和1.15%,比TM的周年土壤氨挥发排放量和N损失率分别高2.91%和4.55%,CK的周年土壤氨挥发排放量为4.40 kghm-2,试验组TM和NM的周年土壤氨挥发排放量和N损失率无显著差异。主成分分析表明,桃园土壤氨挥发与土壤铵态氮(NH4+-N)含量和大气湿度(RH)呈正相关,且与NH4+-N呈高度正相关(P<0.01)。与中国果园平均氨排放量和长江中下游典型果园的土壤氨挥发损失相比,TM处理分别降低12.95%和76.89%。该研究表明,白三叶生草覆盖种植模式可以降低果园土壤氨排放,同时也具有增加果实质量的潜力。

关键词: 桃园, 生草覆盖, 氨挥发, 氮肥, 铵态氮

Abstract:

In conventional orchard planting practices, soil ammonia volatilization caused by traditional methods has shown a gradually increasing trend over the years. This study employed a portable closed chamber intermittent pumping method to investigate the effects of grass cultivation on soil ammonia volatilization in peach orchards in Shanghai. Focusing on ammonia emission levels under different vegetation cover conditions in Nanhui Peach Orchard of Pudong New District, three treatments were established: white clover cover cultivation(TM), conventional fertilization(NM), and a non-fertilized control(CK). The research revealed that the annual ammonia volatilization and nitrogen loss rate under NM treatment reached 13.08 kghm-2 and 1.15%, respectively, showing 2.91% and 4.55% higher values compared to TM treatment. The control group(CK) exhibited an annual ammonia emission of 4.40 kghm-2. No significant difference in ammonia volatilization and nitrogen loss rates was observed between TM and NM treatments. Principal component analysis demonstrated that soil ammonia volatilization in peach orchards was positively correlated with soil ammonium nitrogen(NH4+-N) content and air humidity(RH), with a particularly strong correlation to NH4+-N reaching statistical significance(P<0.01). Compared with average ammonia emissions from Chinese orchards and typical orchard ammonia volatilization losses in the middle-lower Yangtze River basin, TM treatment reduced the soil ammonia emissions by 12.95% and 76.89% respectively. This experiment confirmed that white clover cover cultivation served as an effective approach to mitigate soil ammonia volatilization in peach orchards. At the same time, the cultivation has the potential of increasing fruit quality.

Key words: peach orchard, grass cover, ammonia volatilization, nitrogen fertilizer, ammonium nitrogen

中图分类号: