植物研究 ›› 2026, Vol. 46 ›› Issue (1): 131-144.doi: 10.7525/j.issn.1673-5102.2026.01.012

• 研究论文 • 上一篇    下一篇

不同生活型和气孔分布类型植物叶片气孔特征差异及其与叶资源经济性状关联

刘禹含1, 李婷婷1, 杨柳1, 李特1, 刘刚1, 王秀伟1,2()   

  1. 1.东北林业大学林学院,哈尔滨 150040
    2.森林生态系统可持续经营教育部重点实验室(东北林业大学),哈尔滨 150040
  • 收稿日期:2025-07-21 出版日期:2026-01-20 发布日期:2026-01-20
  • 通讯作者: 王秀伟 E-mail:wxgreat@nefu.edu.cn
  • 作者简介:刘禹含(2001—),女,硕士研究生,主要从事树木生理生态学研究。
  • 基金资助:
    国家自然科学基金面上项目(32471710)

Differences in Leaf Stomatal Traits across Plant Life Forms and Stomatal Distribution Types and Their Associations with Leaf Economic Traits

Yuhan LIU1, Tingting LI1, Liu YANG1, Te LI1, Gang LIU1, Xiuwei WANG1,2()   

  1. 1.School of Forestry,Northeast Forestry University,Harbin 150040
    2.Key Laboratory of Sustainable Forest Ecosystem Management-Ministry of Education(Northeast Forestry University),Harbin 150040
  • Received:2025-07-21 Online:2026-01-20 Published:2026-01-20
  • Contact: Xiuwei WANG E-mail:wxgreat@nefu.edu.cn

摘要:

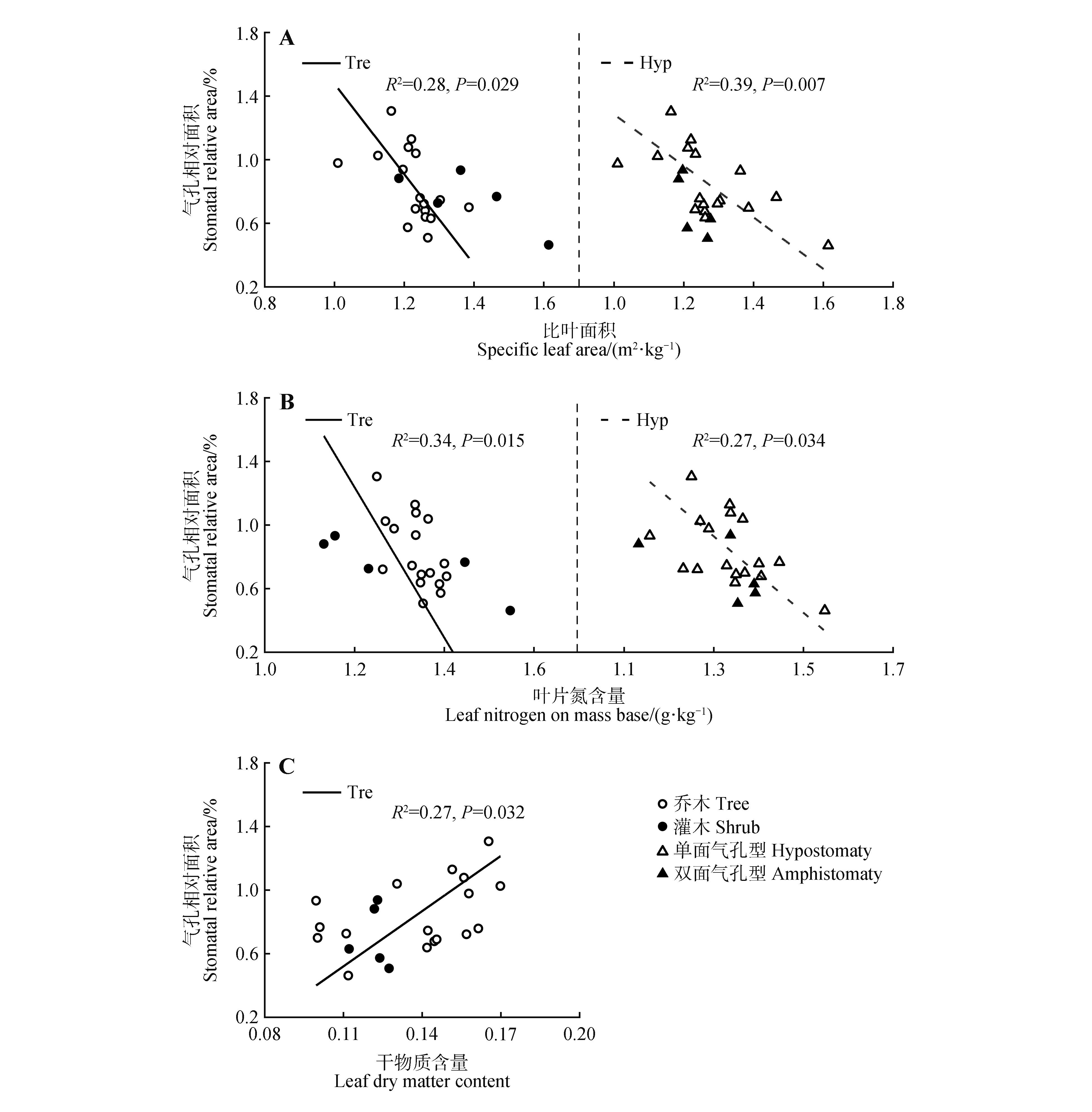
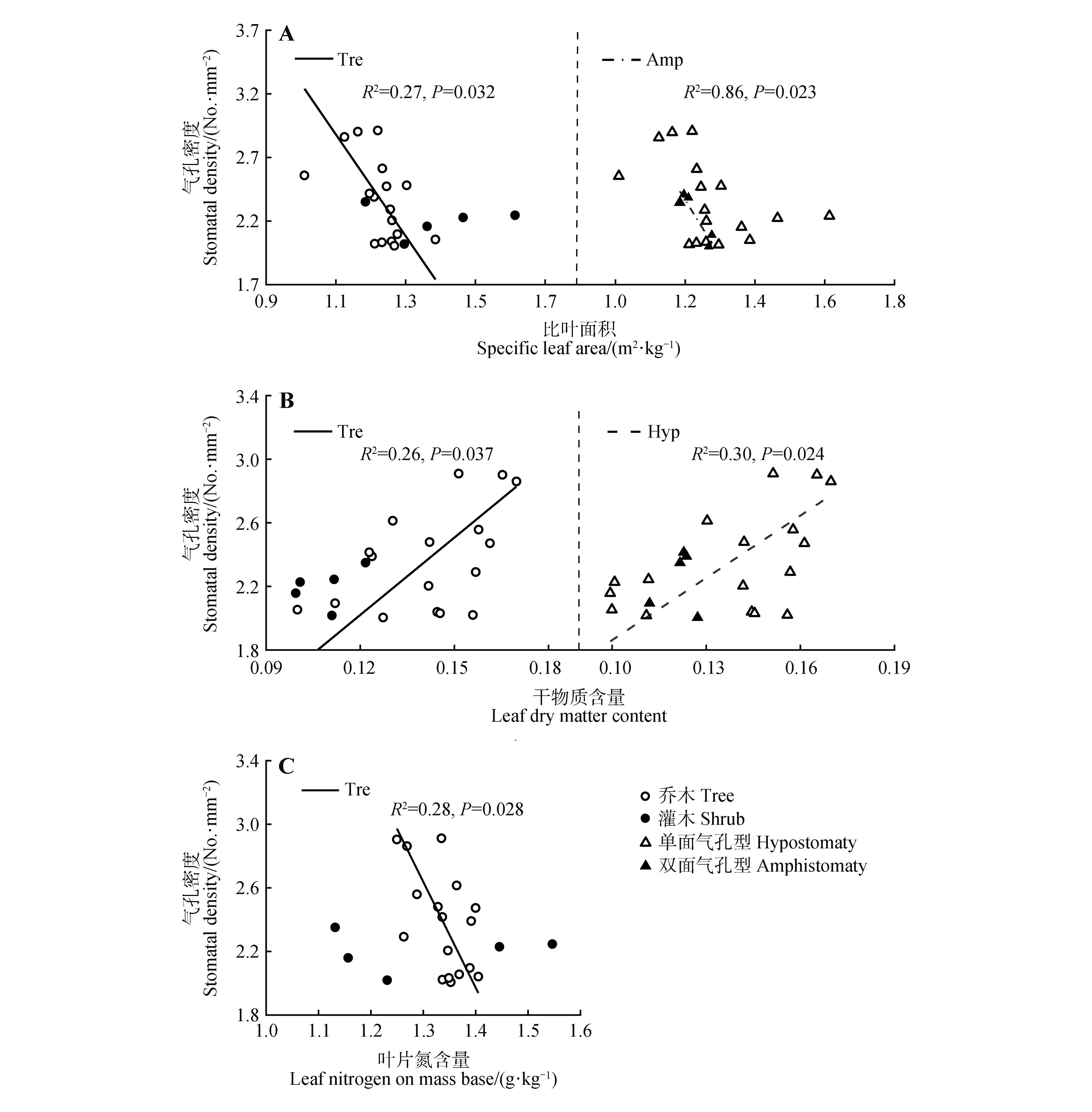
为探究不同生活型(乔木、灌木)和气孔分布类型(单面气孔型、双面气孔型)植物气孔特征差异及其与叶资源经济性状的相关关系,该研究于2023年7—8月以东北林业大学校园内常见的22个树种为研究对象,通过相关分析和标准化主轴分析发现:(1)生活型和气孔分布类型都显著影响气孔特征,乔木的气孔密度(DS)显著高于灌木(P<0.05),而气孔开度(AS)较低;单面气孔型植物的DS和气孔相对面积(ASR)显著高于双面气孔型植物(P<0.05);(2)气孔特征之间的关系在不同的生活型和气孔分布类型中存在差异,DS与气孔大小(SS)和ASR呈负相关关系,且仅在乔木和单面气孔型植物中达到显著水平(P<0.05);SSAS呈正相关关系,且仅在单面气孔型植物中达到显著水平(P<0.05);(3)气孔特征与其他叶资源经济性状关系紧密,DSASR都与比叶面积(ASL)和叶片氮含量(NL)负相关,与干物质含量(CLDM)正相关(P<0.05),ASNL负相关。叶片性状间的协同关系在乔木和单面气孔型植物中更加稳定,而在灌木和双面气孔型植物中更趋向于独立发展。研究结果有助于进一步了解不同类别植物的气孔发育策略。

关键词: 生活型, 双面气孔型, 气孔特征, 叶资源经济性状

Abstract:

To explore the differences in stomatal traits between different life forms(trees vs. shrubs) and stomatal distribution types(hypostomatous vs. amphistomatous), and their relationships with leaf economic traits, this study was conducted from July to August 2023 using 22 common tree species on the campus of Northeast Forestry University. Through correlation analysis and standardized major axis analysis, the following findings were obtained: (1)Both life forms and stomatal distribution types significantly influenced stomatal traits. Trees exhibited significantly higher stomatal density(DS) (P<0.05) but lower stomatal aperture(AS) than shrubs. Hypostomatous leaves showed significantly higher DS and stomatal relative area(ASR) than amphistomatous leaves. (2)Relationships among stomatal traits varied by life form and leaf type. Negative correlations between DS and stomatal size (SS) or ASR were statistically significant(P<0.05) only in trees and hypostomatous leaves, while the positive correlation between SS and AS reached significance(P<0.05) exclusively in hypostomatous leaves. (3)Stomatal traits were closely linked to the other leaf economic traits. Both DS and ASR were negatively correlated with specific leaf area (ASL) and leaf nitrogen content(NL), but positively correlated with leaf dry matter content(CLDM). AS showed a negative correlation with NL. Trait coordination was more stable in trees and hypostomatous leaves, whereas shrubs and amphistomatous leaves exhibited more independent trait variations. The results of this research help to further understand the stomatal development strategies of different types of plants.

Key words: life form, amphistomatous leaves, stomatal traits, leaf economic traits

中图分类号: