Bulletin of Botanical Research ›› 2025, Vol. 45 ›› Issue (4): 648-658.doi: 10.7525/j.issn.1673-5102.2025.04.016

• Original Paper • Previous Articles    

Comparison of the Interspecific Difference of Primary Structure of Aerial Roots among Three Epiphytic Orchids

Yin REN, Wenna WANG()   

  1. School of Tropical Agriculture and Forestry,Hainan University,Haikou 571000
  • Received:2024-12-06 Online:2025-07-20 Published:2025-07-25
  • Contact: Wenna WANG E-mail:wennawang@hainanu.edu.cn

Abstract:

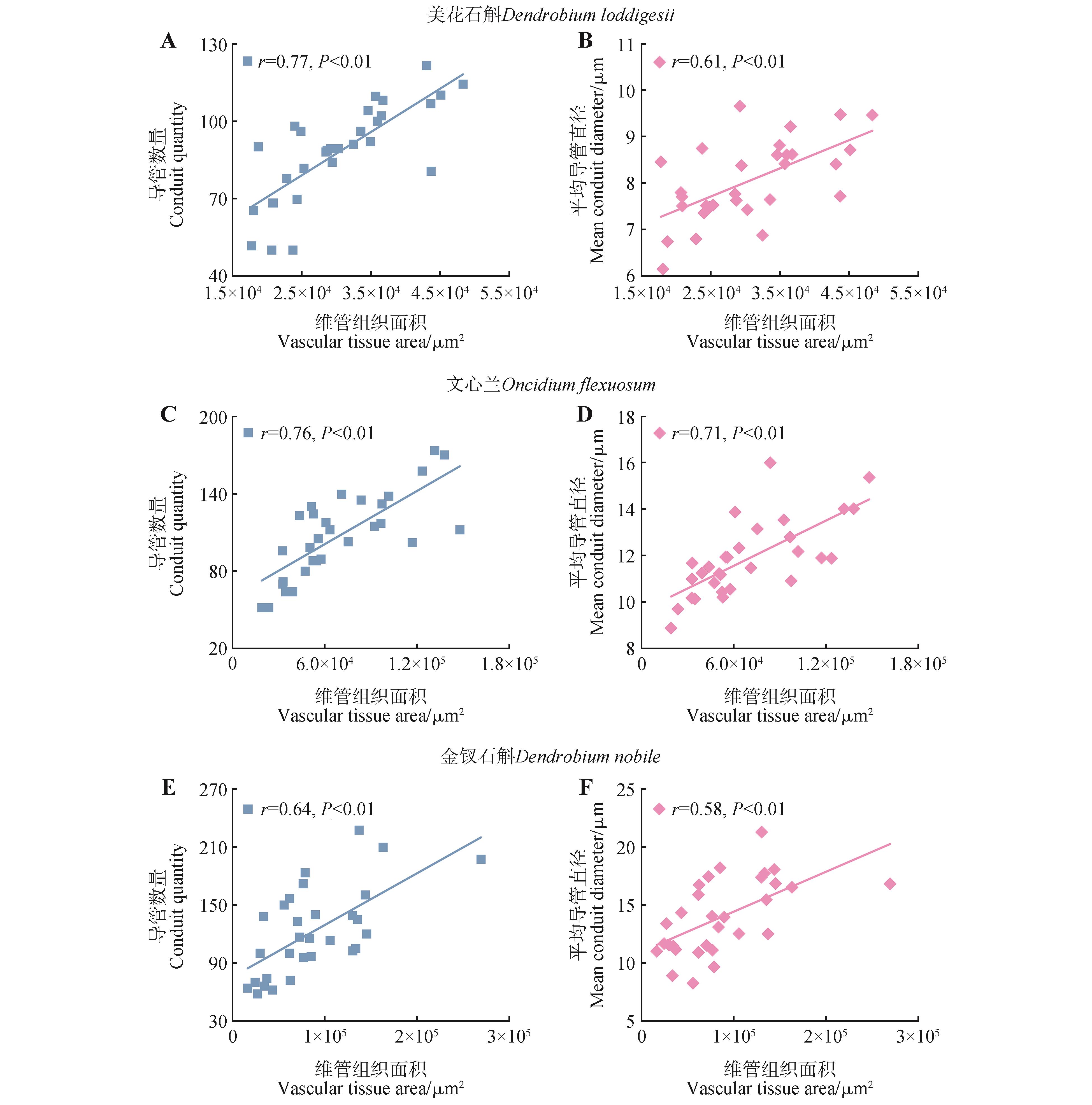
To understand the correlation between structure and function of aerial roots of epiphytic Orchidaceae plants, the paraffin embedding technique was used to obtain cross-sectional slices of the primary structures of aerial roots of Dendrobium loddigesiiOncidium flexuosum and Dendrobium nobile. By measuring the cross-sectional areas of cortical tissue, vascular tissue and other structures of the primary roots, as well as the characteristics such as the number and size of cortical cells and vessels, the anatomical reasons for cross-sectional area changes of the aerial roots were analyzed. The results indicated that: (1)there were significant differences in the cross-sectional area of aerial roots among three species(P<0.05), the cross-sectional area of the aerial root of D. nobile was the largest, followed by O. flexuosum and D. loddigesii. For each species, the proportions of velamen and cortex areas to the root cross-sectional area were relatively high(37.46%-57.03%), thus the velamen and cortex had high correlations with the root cross-sectional area(r=0.91-0.98,P<0.05). (2)Significant correlations existed between cortex area and cortical cell traits, vascular tissue area and conduit traits(P<0.05). The correlation of cortex area with the mean cortical cell diameter(r=0.68-0.90) was stronger than that with cortical cell layers(r=0.56-0.66). In addition, the correlation of vascular tissue area with conduit quantity(r=0.64-0.77) was closer than that with mean conduit diameter(r=0.58-0.71). (3)D. nobile had significantly lower proportions of cortical and vascular tissue area but a significantly higher proportion of velamen area to the root cross-sectional area, when compared to the other two species. Besides, D. nobile also had thicker and more conduits and larger total conduit area, but lower conduit density, which reflected the diversity of different epiphytic orchid species in resource acquisition and strategies for drought stress tolerance. In summary, this study clarified the anatomical mechanisms underlying the cross-sectional area changes of aerial roots of three epiphytic orchids as well as the interspecific differences in resource acquisition strategies, and provided a new scientific perspective for understanding the relationship between plant root structure and function.

Key words: aerial root, anatomical structure, epiphytic orchids, tropical rainforests, correlation

CLC Number: